Derivative laws question numerical analysis

Click For Summary

Homework Help Overview

The discussion revolves around the laws of derivatives in the context of numerical analysis, specifically focusing on the product rule and its application to multiple functions. Participants are exploring the implications of notation involving epsilon and pi in derivative expressions.

Discussion Character

  • Conceptual clarification, Mathematical reasoning

Approaches and Questions Raised

  • Participants are attempting to clarify the transition from the product rule for derivatives to expressions involving epsilon and pi. Questions are raised about the meaning of these symbols and their relevance to the derivative of a product of functions.

Discussion Status

The discussion is ongoing, with participants providing insights into the notation and attempting to clarify misunderstandings regarding the symbols used. Some guidance has been offered regarding the product notation and its derivative, but there is no explicit consensus on the interpretation of epsilon.

Contextual Notes

There appears to be confusion regarding the notation used, particularly the distinction between epsilon, pi, and sigma, as well as their roles in the context of derivatives. The original poster's reference to epsilon is not universally recognized among participants, leading to varied interpretations.

nhrock3
Messages
403
Reaction score
0
23ra8u0.jpg


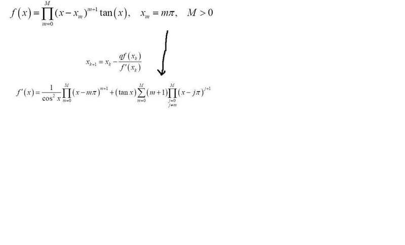
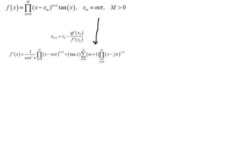
i know the law (fg)'=f'g+fg'
but here there is epsilon
and it turns to someother sign i don't know what it says.

i can't understand the transition
?
 
Physics news on Phys.org
nhrock3 said:
23ra8u0.jpg


i know the law (fg)'=f'g+fg'
but here there is epsilon
and it turns to someother sign i don't know what it says.

i can't understand the transition
?
There's no epsilon in what you posted. Are you talking about [itex]\prod[/itex]? Note that this is upper-case pi, which is different from the constant [itex]\pi[/itex], lower-case pi.

Upper-case pi is similar to upper-case sigma [itex]\sigma[/itex], except that it is used for products rather than sums. here's an example using the product notation.
[tex]\prod_{m = 1}^5 m = 1 \cdot 2 \cdot 3 \cdot 4 \cdot 5 = 5! = 120[/tex]
 
ok but why the derivative change epsilon to pi?
 
What are you talking about? There is no epsilon.
 
With epsilon do you mean the summation sign? If so that one is called capital sigma.

Taking the derivative of a function that is the product of two other functions yields two terms as you know, (fg)'=f'g+g'f. In our case we don't have a function consisting of the product of two functions but of a product of m functions.

[tex] \prod_{j=0}^m f_j=f_0f_1f_2 \cdot ... \cdot f_m[/tex]

Now taking the derivative of that product yields:

[tex] \frac{d}{dx}\prod_{j=0}^m=\frac{d}{dx}(f_0f_1f_2 \cdot ... \cdot f_m)=f'_0f_1f_2 \cdot ... \cdot f_m+f_0f_1'f_2 \cdot ... \cdot f_m+...+f_0f_1f_2 \cdot ... \cdot f_m'[/tex]

You can see that we get m terms that are added together and every term is the product of m terms. We can write this compactly as:

[tex] \sum_{i=0}^m \frac{df_i}{dx}\prod_{\substack{ j=0 \\ j \neq i}}^m f_j[/tex].
 
Last edited:

Similar threads

  • · Replies 4 ·
Replies
4
Views
2K
  • · Replies 1 ·
Replies
1
Views
795
  • · Replies 9 ·
Replies
9
Views
2K
  • · Replies 7 ·
Replies
7
Views
1K
  • · Replies 6 ·
Replies
6
Views
2K
  • · Replies 3 ·
Replies
3
Views
2K
  • · Replies 1 ·
Replies
1
Views
1K
  • · Replies 4 ·
Replies
4
Views
5K
  • · Replies 1 ·
Replies
1
Views
2K
Replies
6
Views
2K