Derivative of cosh x: Clarifying Confusion

  • Context: Undergrad 
  • Thread starter Thread starter Michael_Light
  • Start date Start date
  • Tags Tags
    Derivative
Click For Summary

Discussion Overview

The discussion revolves around the derivative of the hyperbolic cosine function, cosh(x), and clarifications regarding the transition between different representations of this derivative. Participants explore the implications of different definitions of cosh(x) and the mathematical steps involved in deriving its derivative.

Discussion Character

  • Technical explanation
  • Debate/contested
  • Mathematical reasoning

Main Points Raised

  • One participant questions whether the index for summation should start at k=0 instead of k=1, suggesting confusion about the terms involved.
  • Another participant argues that the k=0 term does not contribute to the sum since it results in a value of 0, thus justifying starting the index at k=1.
  • A third participant provides a reformulation of the sum, showing how to rewrite the expression for the derivative of cosh(x) using factorials and changing the index of summation.
  • Some participants express that defining cosh(x) as (e^x + e^{-x})/2 is a more straightforward approach to finding its derivative compared to the power series definition.
  • There is a suggestion that the method of deriving the derivative from the power series is valid but may seem unnecessarily complex compared to the exponential definition.

Areas of Agreement / Disagreement

Participants do not reach a consensus on the best approach to derive the derivative of cosh(x). There are competing views regarding the clarity and efficiency of different definitions and methods.

Contextual Notes

Some assumptions about the definitions of cosh(x) are not explicitly stated, and there are unresolved steps in the mathematical reasoning presented, particularly in the transition between summation indices.

Michael_Light
Messages
112
Reaction score
0
maths.png


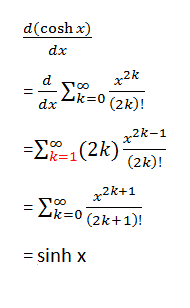
Hi... I read this from my lecture note, but i couldn't understand:

i) the red part, shouldn't it be k =0 instead of k=1?

ii) the third line to the fourth line... i.e.

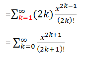
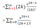
maths 2.png


I have no idea how to change from the third line to the fourth line..

Can anyone enlighten me? Thanks a lot.. :smile:
 
Physics news on Phys.org
It doesn't matter. Since the terms being summed have a factor of "k", the k= 0 term has value 0.

In general, for power series, [itex]f(x)= \sum_{k=0}^\infty a_kx^k[/itex], the derivative can be written as either [itex]f'(x)= \sum_{k=0}^\infty ka_kx^{k- 1}[/itex] or as [itex]f'(x)= \sum_{k=1}^\infty ka_kx^{k- 1}[/itex] because the k= 0 term is 0.

By making the change of index, n= k- 1, so that k= n+1, the second can be written [itex]f'(x)= \sum_{n=0} (n+1)a_{n+1}x^n[/itex].
 
The first sum can be rewritten as
[itex]\displaystyle \sum_{k=1}^\infty (2k)\frac{x^{2k-1}}{(2k)!}=\sum_{k=1}^\infty \frac{x^{2k-1}}{(2k-1)!}[/itex]​
since [itex](2k)!=(2k)(2k-1)![/itex]. To change the base index, replace [itex]k[/itex] by [itex]k+1[/itex]. You then get the sum
[itex]\displaystyle \sum_{k=0}^\infty \frac{x^{2k+1}}{(2k+1)!}.[/itex]​
 
Michael_Light said:
View attachment 54593

Hi... I read this from my lecture note, but i couldn't understand:

i) the red part, shouldn't it be k =0 instead of k=1?

ii) the third line to the fourth line... i.e.

View attachment 54595

I have no idea how to change from the third line to the fourth line..

Can anyone enlighten me? Thanks a lot.. :smile:

This seems to be a very roundabout way of getting this result.

cosh(x) = (ex + e-x)/2
The derivative = (ex - e-x)/2 =sinh(x).
 
IF cosh(x) has been defined as [itex](e^x+ e^{-x})/2[/itex], yes, that is more direct. However, if cosh(x) has been defined as [itex]\sum_{i=0}^\infty x^{2i}/(2i)![/itex], as is quite possible and apparently as done in the first post, the argument given is more direct.
 

Similar threads

  • · Replies 7 ·
Replies
7
Views
3K
Replies
2
Views
3K
  • · Replies 3 ·
Replies
3
Views
2K
  • · Replies 10 ·
Replies
10
Views
2K
  • · Replies 8 ·
Replies
8
Views
3K
  • · Replies 5 ·
Replies
5
Views
3K
  • · Replies 29 ·
Replies
29
Views
7K
  • · Replies 36 ·
2
Replies
36
Views
5K
  • · Replies 3 ·
Replies
3
Views
2K
  • · Replies 6 ·
Replies
6
Views
2K