Derive error formula for Lambda (25 C)

Click For Summary

Homework Help Overview

The discussion revolves around deriving an error formula for the equivalence conductivity of NaCl at a specific temperature (25°C) based on a linear fit of experimental data. The original poster has fitted a line using least squares and is tasked with estimating the error using a covariance matrix.

Discussion Character

  • Exploratory, Assumption checking, Mathematical reasoning

Approaches and Questions Raised

  • The original poster attempts to understand how to derive the error formula and expresses confusion regarding the role of partial derivatives in error propagation. They seek clarification on the covariance matrix elements.
  • Some participants question the correlation between the fitted parameters and the implications of the covariance matrix in error estimation.
  • Others suggest breaking down the problem step by step to clarify the relationship between the variables involved.

Discussion Status

The discussion is ongoing, with participants exploring the concepts of error propagation and covariance in the context of linear regression. Some guidance has been offered regarding the use of partial derivatives and the need for a complete covariance matrix, but no consensus has been reached on the specific steps to derive the formula.

Contextual Notes

The original poster has access to MATLAB and Excel for calculations but is uncertain about the commands needed to compute the covariance elements. There is a deadline for submission approaching, which adds urgency to the discussion.

lep11
Messages
380
Reaction score
7
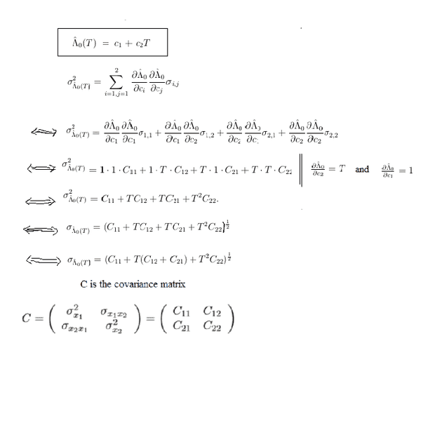
In physics lab course I measured equivalence conductivity of NaCl in infinite dilution Λ0 as a function of temperature T.

So I have observations (T, Λ0) and fitted a line using the least squares method in Ms excel (lol :oldbiggrin:).
The formula of the line is Λ0(T)=c0+c1T, where c0 and c1 are constants.

I am asked to estimate the error of Λ0(25 C) using the following formula

σΛ0(T)=(C11+T(C12+C21)+T2C22),

where Cij are elements of covariance matrix and T is temperature in centigrades. I have matlab, but don't know the commands and how to calculate.

I am also asked to derive the formula above on paper and honestly I have no idea where to begin.
However, I am given this clue;

2zfsqia.png

Those partial derivatives confuse me

I will appreciate any help!
 
Last edited:
Physics news on Phys.org
No responses so far, must be a complicated subject ...

You used excel linest ? Did it give you the whole matrix ?

Reason you need the off-diagonal elements is that the errors in ##c_0## and ##c_1## are correlated: the fitted line goes through the center of gravity of the measurements, which generally is not on the y-axis. 'Wiggling' the line shows that the error in the intercept is partially due to the error in the slope.

Does this thread help you ? Or the references mentioned ?
 
BvU said:
You used excel linest ? Did it give you the whole matrix ?
Yes and yes.
BvU said:
Does this thread help you ? Or the references mentioned ?
Not really, unfortunately.
 
Well, then we have to go through step by step. Partial derivatives pop up when functions are functions of more than one variable. Generally error propagation works with partial derivatives. Errors are supposed to be small and the derivatives give a linear approximation for the propagation.

Show what you have so far and we'll pick it up at σΛ0(T)=(C11+T(C12+C21)+T2C22), which I find strange: T shouldn't appear there.
 
Okay, now I think I've figured it out. I have to submit my work due to Monday.

Does this make any sense?
The error of line fitting is function of c1 and c2.
2rmkqia.png

Sorry, the picture is a bit blurry and unclear.

The only problem is, how do I get the covariance-variance matrix between c1 and c2?

(I know C11 and C22 because excel gave variances, but C12 and C21 are still unknown.)
 
Last edited:

Similar threads

  • · Replies 2 ·
Replies
2
Views
2K
  • · Replies 3 ·
Replies
3
Views
2K
  • · Replies 5 ·
Replies
5
Views
3K
  • · Replies 2 ·
Replies
2
Views
2K
  • · Replies 28 ·
Replies
28
Views
4K
  • · Replies 3 ·
Replies
3
Views
1K
  • · Replies 6 ·
Replies
6
Views
939
  • · Replies 12 ·
Replies
12
Views
3K
  • · Replies 123 ·
5
Replies
123
Views
8K
  • · Replies 21 ·
Replies
21
Views
4K