Deriving poroelastic equation in differential form

Click For Summary
SUMMARY

The discussion focuses on deriving the differential form of the poroelastic equation within a spherically symmetric model of tissue. The model consists of a central sphere representing liquid production, surrounded by brain tissue with varying permeabilities, and an impermeable outer shell representing the skull. Participants emphasize the need to simplify the general poroelastic equations and apply Hooke's law to transition from the general equations to the desired differential form. Specific methodologies for achieving this transformation are sought by the original poster.

PREREQUISITES
  • Poroelasticity principles
  • General Hooke's law
  • Spherical coordinate systems
  • Mathematical modeling of biological tissues
NEXT STEPS
  • Study the derivation of the general poroelastic equations
  • Explore the application of Hooke's law in poroelastic materials
  • Research methods for simplifying equations in spherical coordinates
  • Investigate numerical methods for solving differential equations in biological contexts
USEFUL FOR

Researchers in biomedical engineering, mathematicians focusing on differential equations, and professionals modeling tissue mechanics will benefit from this discussion.

enc08
Messages
40
Reaction score
0
Hi,

I'm trying to fill in the gaps in my notes - looking at a poroelastic model of tissue.

We have the simple spherical model below. The centre sphere is where liquid is produced, then the two following spheres are brain tissue with different permeabilities, and the final sphere is an impermeable shell representing the skull.

p1_zps3cd2a08e.png


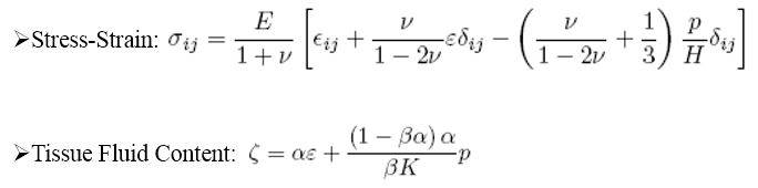
The general poroelastic equations are

p2_zps4c762c3e.jpg


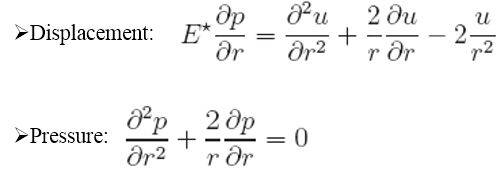
My notes indicate that these equations are inverted and simplified for the spherically symmetric geometry we have assumed, to give this differential-form representation:

p3_zps81ec2f40.jpg


Any specific thoughts on how I can get from the general equations to the differential form above?

Thanks a lot.
 
Engineering news on Phys.org
Any thoughts on how one can go from the general Hooke's law to differential form?
 

Similar threads

  • · Replies 8 ·
Replies
8
Views
4K
  • · Replies 6 ·
Replies
6
Views
2K
  • · Replies 1 ·
Replies
1
Views
4K
  • · Replies 2 ·
Replies
2
Views
1K
  • · Replies 7 ·
Replies
7
Views
3K
  • · Replies 7 ·
Replies
7
Views
6K
  • · Replies 9 ·
Replies
9
Views
3K
  • · Replies 2 ·
Replies
2
Views
2K
  • · Replies 2 ·
Replies
2
Views
2K
  • · Replies 40 ·
2
Replies
40
Views
5K