Designing a 2-bit Comparator with NOR gates

Click For Summary

Discussion Overview

The discussion revolves around the design of a 2-bit comparator using exclusively NOR gates, as part of a homework assignment. Participants are reviewing the initial design, truth tables, and logical expressions related to the comparator's functionality, specifically focusing on the condition where A is greater than or equal to B.

Discussion Character

  • Homework-related
  • Technical explanation
  • Debate/contested

Main Points Raised

  • One participant expresses uncertainty about their design and requests feedback on their approach to creating a two-bit comparator using NOR gates.
  • Another participant questions the inclusion of additional inputs (A3 and A4) in the design, suggesting it complicates the problem unnecessarily.
  • A participant clarifies that the inputs A and B consist of two bits each (A1, A0 and B1, B0) and acknowledges their lack of experience in circuit design, which may have led to misunderstandings.
  • After reviewing their work, the original poster presents a new logical expression derived from their truth table, indicating a significant change in their circuit design.
  • Some participants point out that the negative inputs can be generated using NOR gates, but express concern over other potential issues in the design.

Areas of Agreement / Disagreement

Participants do not appear to reach a consensus on the correctness of the initial design. There are multiple viewpoints regarding the inclusion of additional inputs and the interpretation of the problem statement, indicating ongoing disagreement and uncertainty.

Contextual Notes

There are limitations regarding the clarity of the problem statement and the assumptions made about the inputs. The discussion highlights unresolved issues in the derivation of logical expressions and the design process.

peroAlex
Messages
35
Reaction score
4
At our class on digital structures, this assignment has been given. It's a preparation for upcoming lab work, and I'm not sure my design is correct. Is anyone please willing to check it out?
1. The problem statement, all variables, and given/known data
Design a two-bit comparator using NOR gates exclusively. Your circuit should yield 1 when ## A \geq B ##.

Homework Equations


I'm not sure any equations can be put here.

3. The Attempt at a Solution

I uploaded multiple files which are directly excreted from a PDF file I have to attach to my assignment. I hope it is not pesky!
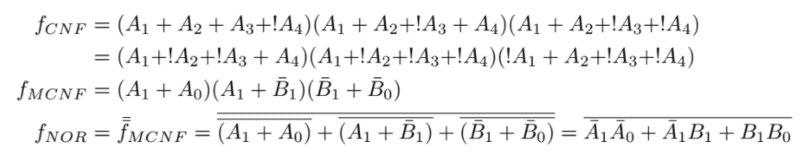
I began by writing a truth table. In the next step, I proceeded with writing down conjunctive normal form (CNF) and minimizing it in the next step. To obtain the minimal conjunctive normal form (MCNF), I did use Mathematica to aid me with simplification. To obtain the logical formula that resembles NOR gate operation, MCNF has to be negated twice and solved using de Morgan theorem.
In the last step, circuit design. Using KiCad, I drew a circuit that implements only NOR gates.

If you see any fallacies, please let me know. I hope you're having a wonderful Saturday!
 

Attachments

  • My Drive   Google Drive.png
    My Drive Google Drive.png
    2.5 KB · Views: 960
  • My Drive   Google Drive3.png
    My Drive Google Drive3.png
    13.5 KB · Views: 946
  • My Drive   Google Drive4.png
    My Drive Google Drive4.png
    9.8 KB · Views: 2,429
Physics news on Phys.org
Why do you have any inputs other than A and B ? I think you are making this into something it is not.
 
  • Like
Likes   Reactions: peroAlex and berkeman
Yeah, what are A3 and A4 in your Drive3 diagram?
 
  • Like
Likes   Reactions: peroAlex
First, I shall reply to @phinds. A task we were given states that inputs A and B consist of two bits, namely A1, A0 and B1, B0. I should also note I have no experience building circuits, so it is possible my comprehension of the problem is completely fallacious.

@berkeman, thank you for pointing out my superficial mistake! It should be
A1 ... A1
A2 ... A0
A3 ... B1
A4 ... B0
I will check my derivation again, it could be I missed more than that.
 
OK, I checked my derivation again, this time using a much more appropriate notation. In Mathematica, I've written down this expression (please check the truth table):
(a1 || a0 || b1 || (! b0)) && (a1 || a0 || (! b1) || b0) && (a1 || a0 || (! b1) || (! b0)) && (a1 || (! a0) || (! b1) || b0) && (a1 || (! a0) || (! b1) || (! b0)) && ((! a1) || a0 || (! b1) || (! b0))
I simplified it and obtained (a0 || a1 || ! b0) && (a0 || ! b0 || ! b1) && (a1 || ! b1). This means that my circuit should look completely different!
 
peroAlex said:
First, I shall reply to @phinds. A task we were given states that inputs A and B consist of two bits, namely A1, A0 and B1, B0.
And yet you have used the NEGATIVE of a couple of those as thoughthey were part of your allowed inputs.
 
Those are easily made using a NOR gate as an inverter so not a major problem. The other problem is worse.
 
CWatters said:
Those are easily made using a NOR gate as an inverter so not a major problem. The other problem is worse.
Of course, which is what he should have done. I'm just point it out to him. He seems to think they are part of the allowed input, not that he has to derive them.
 

Similar threads

Replies
4
Views
6K
Replies
2
Views
2K
  • · Replies 7 ·
Replies
7
Views
13K
Replies
9
Views
3K
Replies
10
Views
3K
  • · Replies 4 ·
Replies
4
Views
5K
  • · Replies 4 ·
Replies
4
Views
4K
  • · Replies 5 ·
Replies
5
Views
3K
  • · Replies 6 ·
Replies
6
Views
3K
  • · Replies 1 ·
Replies
1
Views
7K