Determine the Electrical potential at a given point

Click For Summary

Homework Help Overview

The discussion revolves around determining the electrical potential at a specific point related to a charged rod with a circular center. The problem involves understanding the implications of charge density and the geometry of the setup, specifically focusing on the potential rather than the electric field.

Discussion Character

  • Exploratory, Conceptual clarification, Mathematical reasoning

Approaches and Questions Raised

  • Participants discuss the complexity of integrating to find the potential and question the relevance of certain points in the setup. There is an emphasis on understanding that the problem requires calculating potential, not force, and some suggest methods for integrating contributions from different segments of the charge distribution.

Discussion Status

The discussion has clarified the focus on electric potential rather than electric field calculations. Participants have acknowledged the easier nature of potential calculations and have engaged in reviewing each other's reasoning and approaches. There is a recognition of the need for careful integration and consideration of geometry in the calculations.

Contextual Notes

Some participants express uncertainty about the original problem statement and its implications, while others confirm the focus on potential. There are mentions of the reference potential being set at infinity and the challenges posed by the geometry of the charge distribution.

Karl Karlsson
Messages
104
Reaction score
12
Homework Statement
A rod with a circular center in the middle (which causes the rod to change direction by 90 °) has an evenly distributed linear charge density 𝜆 of electrons along the entire rod. Determine the electrical potential of the red dot in the figure below which is at the center of the circular round. The reference potential is 0 V far away from the rod.
Relevant Equations
See below
A rod with a circular center in the middle (which causes the rod to change direction by 90 °) has an evenly distributed linear charge density 𝜆 of electrons along the entire rod. Determine the electrical potential of the red dot in the figure below which is at the center of the circular round. The reference potential is 0 V far away from the rod.

Skärmavbild 2020-01-22 kl. 23.57.04.png

Given values are radius R, length a and charge density 𝜆.

My attempt:

IMG_0545.jpeg
IMG_0546.jpeg


Sorry for writing my solution not in english but you get the idea. As one can see the integral gets very complicated when i am trying to come up with an expression for the force at point (d,0). And then i haven't even started doing the integral for the potential difference of the given point and point (d,0). There must be an easier way to solve this problem.

Thanks in beforehand!
 

Attachments

  • Skärmavbild 2020-01-22 kl. 23.57.04.png
    Skärmavbild 2020-01-22 kl. 23.57.04.png
    2.5 KB · Views: 246
Physics news on Phys.org
The problem statement is asking for the potential at the dot, not the force.

Electric potential only depends upon the distance from a given charge and is a scalar value. The zero reference is assumed to be at infinity.
 
I am not at all sure why you are concerned with the point you have labeled (d, 0). It is irrelevant. Note that the point of interest is at distance ##R## from the end of each straight segment in the perpendicular direction. Calculate the electric field vector potential contribution from one segment by integrating as suggested in the figure below, then superimpose the contribution from the other segment which has the same magnitude but different direction double it to account for the other segment, then calculate and superimpose the contribution from the quarter circle to its center.

EFieldSegment.png

Note: This post has been edited following @gneill's remarks in post #4.
 
Last edited:
kuruman said:
Calculate the electric field vector contribution from one segment by integrating as suggested in the figure below, then superimpose the contribution from the other segment which has the same magnitude but different direction, then calculate and superimpose the contribution from the quarter circle to its center.
Still, the problem statement wants the electric potential at the point, not the field. Perhaps the OP (@Karl Karlsson) could confirm that the problem statement is correct?

Potential is easier to calculate since it's a scalar value, so no dealing with field component directions.
 
  • Like
Likes   Reactions: kuruman
gneill said:
Still, the problem statement wants the electric potential at the point, not the field. Perhaps the OP (@Karl Karlsson) could confirm that the problem statement is correct?

Potential is easier to calculate since it's a scalar value, so no dealing with field component directions.
Oops, yes, it is the potential. Good catch. I looked at OP's equations with the squares in the denominator and got side-tracked to think it is the field that needs to be calculated. Yes, the potential is easier. One has to double the potential from a single segment and the quarter circle potential is trivial because all the source points on it are equidistant from the point of interest. I edited post #3.
 
Last edited:
  • Like
Likes   Reactions: gneill
gneill said:
Still, the problem statement wants the electric potential at the point, not the field. Perhaps the OP (@Karl Karlsson) could confirm that the problem statement is correct?

Potential is easier to calculate since it's a scalar value, so no dealing with field component directions.
kuruman said:
Oops, yes, it is the potential. Good catch. I looked at OP's equations with the squares in the denominator and got side-tracked to think it is the field that needs to be calculated. Yes, the potential is easier. One has to double the potential from a single segment and the quarter circle potential is trivial because all the source points on it are equidistant from the point of interest. I edited post #3.

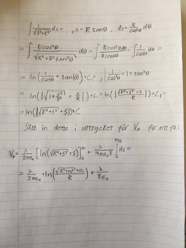
Of course now i see it, you are correct, it is much easier to calculate the potential by just plugging into the formula 1/(4pi*e0)*Q/r directly. I still get a quite difficult integral, could you review my solution, and thanks for the help!

IMG_0548.jpeg
IMG_0550.jpeg


Sorry for writing the text on a non english language but i think you understand by looking att the picture i drew and the mathematical expressions and thanks again!
 
Your final answer agrees with mine. Good job!
 
kuruman said:
Your final answer agrees with mine. Good job!
Alright must be correct then. Thanks!
 

Similar threads

Replies
1
Views
2K
  • · Replies 22 ·
Replies
22
Views
4K
Replies
8
Views
2K
Replies
1
Views
3K
  • · Replies 10 ·
Replies
10
Views
2K
  • · Replies 3 ·
Replies
3
Views
3K
  • · Replies 30 ·
2
Replies
30
Views
3K
  • · Replies 28 ·
Replies
28
Views
4K
  • · Replies 5 ·
Replies
5
Views
2K
  • · Replies 20 ·
Replies
20
Views
7K