Determine the point of application of a resultant force

Click For Summary

Homework Help Overview

The discussion revolves around determining the point of application of a resultant force, specifically in the context of calculating moments and understanding the relationship between forces and torques. The original poster expresses difficulty with part b of the question, having previously calculated the components of the given forces in part a.

Discussion Character

  • Exploratory, Assumption checking, Conceptual clarification

Approaches and Questions Raised

  • Participants discuss the calculation of moments using vector cross multiplication and question the relevance of this step. There are inquiries about the necessity of equilibrium in the problem setup and the interpretation of negative torque values. The original poster seeks clarification on how to find the coordinates for the point where the resultant force acts.

Discussion Status

The discussion is ongoing, with participants providing insights into the calculations of forces and torques. Some guidance has been offered regarding the relationship between resultant forces and torques, and the need for further exploration of the conditions under which these calculations hold true. Multiple interpretations of the problem are being examined.

Contextual Notes

Participants note that the question does not specify whether the system is in equilibrium, which has implications for their calculations. There is also mention of practice questions and solutions being available, which may influence the discussion dynamics.

SumDood_
Messages
39
Reaction score
6
Homework Statement
Given two Forces and their position vectors, find the resultant force and the point of application of the resultant Force.
Relevant Equations
moment = Force * distance
I am struggling with part b of the question attached in the screenshot. For part a, I simply add the components of the given forces.
I tried calculating the moments using vector cross multiplication, but I don't know what to do after that or even if that step is useful.
 

Attachments

  • Screenshot 2023-01-10 151217.png
    Screenshot 2023-01-10 151217.png
    14.3 KB · Views: 161
Physics news on Phys.org
SumDood_ said:
but I don't know what to do
a. Did you make a sketch ?

SumDood_ said:
I tried calculating the moments
b. Please post your working -- and why you think this is useful

c. Post a typed problem statement, not a screenshot. See rules and guidelines

##\ ##
 
By the way, I agree with your ##{\bf F} = \left (2{\bf \hat\imath}+ 2{\bf \hat\jmath}\right )\ ## N.
 
  • Like
Likes   Reactions: SumDood_
a. Did you make a sketch ?
b. Please post your working -- and why you think this is useful
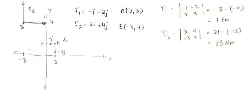
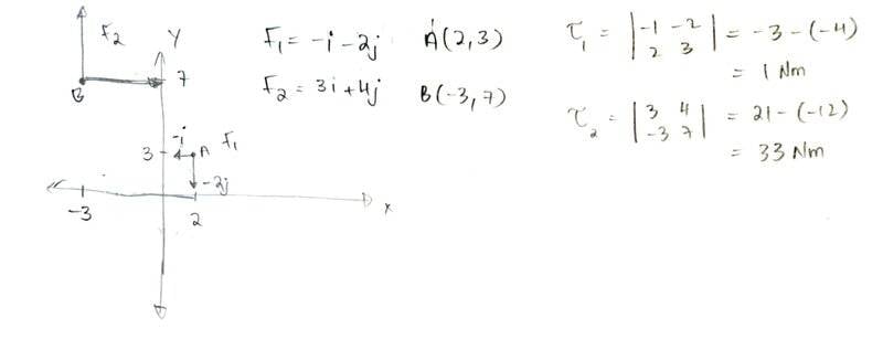
I did make a sketch now and attached my working. I calculated the moments because that is the material I am taking at the moment in class. I realized that the question does not mention that the system is in equilibrium, which is what I have used in previous questions.
 

Attachments

  • Working.jpeg
    Working.jpeg
    11.3 KB · Views: 175
Okay! No beauty prizes, but that's not the intention anyway. So you found (I hope) the ##\bf F## total and you found ##\vec\tau_1 = -1\; {\bf \hat k} \ ## Nm and ##\vec\tau_2 = -33 \;{\bf \hat k} \ ## Nm. Useful, because the resultant force and torque must both be the same.

I assume you found ##{\bf F} = \left (2{\bf \hat\imath}+ 2{\bf \hat\jmath}\right )\ ##

So how did you (?) find that
1673353934207.png
?

SumDood_ said:
the question does not mention that the system is in equilibrium
There is no system in this case. It's just the addition of two forces: a mathematical exercise.

##\ ##
 
Ah, I see. You didn't find: the screen shot is from the solutions manual. :confused:
No wonder I agreed... :smile:

So at this point you have a total ##\vec F## and a total ##\vec \tau## and I think your question boils down to "how do I find an x- and a y-coordinate for "the point where the resultant acts".
Am I right ?

##\ ##
 
BvU said:
Okay! No beauty prizes, but that's not the intention anyway. So you found (I hope) the ##\bf F## total and you found ##\vec\tau_1 = -1\; {\bf \hat k} \ ## Nm and ##\vec\tau_2 = -33 \;{\bf \hat k} \ ## Nm. Useful, because the resultant force and torque must both be the same.

I assume you found ##{\bf F} = \left (2{\bf \hat\imath}+ 2{\bf \hat\jmath}\right )\ ##

So how did you (?) find that
View attachment 320129 ?There is no system in this case. It's just the addition of two forces: a mathematical exercise.

##\ ##
Thank you for the explanation! These are practice questions and I have the solutions for them. Why are your moments negative? From my working, they should be positive. Can you please explain that? From what I have read online, the cross multiplication of two dimensions generates an output that is on the third dimension which you have specified in your working, but why is it negative?

I'm also struggling with this:
BvU said:
Useful, because the resultant force and torque must both be the same.
Why must they both be the same?
 
BvU said:
I think your question boils down to "how do I find an x- and a y-coordinate for "the point where the resultant acts".
Am I right ?

##\ ##
Yes!
 
SumDood_ said:
Why are your moments negative?
comes out as a result of
SumDood_ said:
vector cross multiplication
I learned ##\vec \tau = \vec r\times\vec F## and I learned $$\vec a\times \vec b=\begin{vmatrix}\hat\imath&\hat\jmath&\hat k\\
a_x&a_y&a_z\\b_x&b_y&b_z\end{vmatrix}$$

And (for me) the sketch is a confirmation of the negative sign of the results: both forces turn clockwise, i.e. negative sense.

SumDood_ said:
Why must they both be the same?
So that you have a single resulting force that does the same as the two forces combined

BvU said:
how do I find an x- and a y-coordinate for "the point where the resultant acts"
Vector sum of forces is ##{\bf F} = \left (2{\bf \hat\imath}+ 2{\bf \hat\jmath}\right )\ ##
Sum of torques is ##\vec\bf \tau = -34 \;{\bf \hat k} \ ##Nm.

From ##\vec \tau = \vec r\times\vec F## we get for a point ##\vec r## of action:##\tau_z = r_x F_y - r_y F_x ##.
One equation in two unknowns (do you understand why there is one degree of freedom left over ?).

so we can finish the exercise by picking any two terms from the boxes that satisfy this condition...

##\ ##
 
  • Like
Likes   Reactions: SumDood_
  • #10
BvU said:
comes out as a result of

I learned ##\vec \tau = \vec r\times\vec F## and I learned $$\vec a\times \vec b=\begin{vmatrix}\hat\imath&\hat\jmath&\hat k\\
a_x&a_y&a_z\\b_x&b_y&b_z\end{vmatrix}$$

And (for me) the sketch is a confirmation of the negative sign of the results: both forces turn clockwise, i.e. negative sense.So that you have a single resulting force that does the same as the two forces combinedVector sum of forces is ##{\bf F} = \left (2{\bf \hat\imath}+ 2{\bf \hat\jmath}\right )\ ##
Sum of torques is ##\vec\bf \tau = -34 \;{\bf \hat k} \ ##Nm.

From ##\vec \tau = \vec r\times\vec F## we get for a point ##\vec r## of action:##\tau_z = r_x F_y - r_y F_x ##.
One equation in two unknowns (do you understand why there is one degree of freedom left over ?).

so we can finish the exercise by picking any two terms from the boxes that satisfy this condition...

##\ ##
Understood, thank you for your help!
 
  • Like
Likes   Reactions: BvU
  • #11
In summary: a force does not have a point of action, but a line of action.

##\ ##
 
  • Like
Likes   Reactions: Lnewqban and SumDood_

Similar threads

  • · Replies 11 ·
Replies
11
Views
2K
  • · Replies 4 ·
Replies
4
Views
1K
Replies
3
Views
1K
  • · Replies 7 ·
Replies
7
Views
1K
Replies
4
Views
3K
  • · Replies 14 ·
Replies
14
Views
2K
Replies
5
Views
3K
Replies
4
Views
1K
  • · Replies 6 ·
Replies
6
Views
2K
Replies
14
Views
2K