Determining Continuity of a Function Without a Given Point

Click For Summary

Homework Help Overview

The discussion revolves around determining the continuity of a function without a specified point. Participants explore the general concept of continuity, particularly focusing on the conditions under which a function is continuous across its domain.

Discussion Character

  • Exploratory, Conceptual clarification, Assumption checking

Approaches and Questions Raised

  • Participants discuss the criteria for continuity, including the need for equal left-hand and right-hand limits and the function's value at a point. There is a focus on understanding how to approach the problem without a specific point of continuity, leading to questions about the values of x for which the function remains continuous.

Discussion Status

Some participants have proposed potential intervals of continuity based on their analysis of the function's behavior, while others have raised questions about the terminology used to describe discontinuities. The conversation is ongoing, with various interpretations being explored.

Contextual Notes

Participants note that the question asks for values of x rather than a specific point, suggesting the need to consider intervals of continuity. There is mention of constraints such as avoiding division by zero and ensuring non-negative values under square roots.

ARYT
Messages
22
Reaction score
0
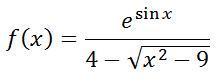
OK. Starting with a basic question, can we determine whether a function is continuous in general?
So far, our tutorial questions were all about continuity/ discontinuity at a given point. I mean, we should firstly prove that the right-hand and the left-hand limits are equal (while x tends to c) and then the obtained value should be equaled to the value of function at the given point which is f(c).
For this question we have no “c” in fact. It IS asking for that “c”, to some extent.
The question: For what values of x is the function f(x) continuous?

Cheers
 

Attachments

  • equ.jpg
    equ.jpg
    2.9 KB · Views: 384
Last edited:
Physics news on Phys.org
ARYT said:
OK. Starting with a basic question, can we determine whether a function is continuous in general?
So far, our tutorial questions were all about continuity/ discontinuity at a given point. I mean, we should firstly prove that the right-hand and the left-hand limits are equal (while x tends to c) and then the obtained value should be equaled to the value of function at the given point which is f(c).

Continuous just means it is continuous at every point. The easiest way of proving it is just letting the point be arbitrary.

For this question we have no “c” in fact. It IS asking for that “c”, to some extent.
The question: For what value of x is the function f(x) continuous?

Cheers
Are you trying to figure out the points this function is continuous? If so then as long as you don't divide by zero, you can use the algebra of limits (i.e. if f and g are cts then so are f+g, f*g and f/g given g is non-zero).
 
Thanks for the response. I was also going to solve the question using an arbitrary value, but it says "For what VALUES of x", so most probably, there should be an interval of continuity for this function.

Let's show some effort. :biggrin: This is my answer:

The denominator shouldn't be zero. So, x cannot be +5 and -5.

The final value for the square root should not be negative. Therefore: x<-3 and x>+3

We can clearly deduct that we have infinite discontinuity in +5 and -5 and jump discontinuity in -3<x<+3.

Thus, the values of x in which f(x) is continuous: (-∞,-5); (-5,-3]; [+3, +5); (+5, +∞)
 
Your analysis is correct but you should not say it has a "jump discontinuity in -3<x<+3."
The function simply is not defined between -3 and 3.
 

Similar threads

  • · Replies 11 ·
Replies
11
Views
2K
  • · Replies 3 ·
Replies
3
Views
1K
  • · Replies 27 ·
Replies
27
Views
3K
  • · Replies 2 ·
Replies
2
Views
1K
  • · Replies 3 ·
Replies
3
Views
2K
Replies
4
Views
4K
Replies
7
Views
2K
Replies
3
Views
1K
Replies
1
Views
2K
  • · Replies 13 ·
Replies
13
Views
2K