How Does the Chain Rule Define the Differential of a Function on a Manifold?

Click For Summary

Discussion Overview

The discussion revolves around the definition of the differential of a function on a manifold, particularly how the chain rule applies in this context. Participants explore the relationship between smooth curves on submanifolds and the derivative of functions in several variables, with references to specific examples and definitions.

Discussion Character

  • Technical explanation
  • Mathematical reasoning
  • Debate/contested

Main Points Raised

  • One participant defines the differential of a function at a point on a submanifold using a smooth curve and questions how to derive this using definitions from multivariable calculus.
  • Another participant suggests that their response may not directly answer the question but provides links to resources on derivatives and pushforwards that might be relevant.
  • A third participant references a specific problem and solution that illustrates the relationship between tangent bundles, suggesting a way to define the manifolds involved.
  • A later reply confirms the interpretation of the differential via the chain rule, posing a question about the correctness of the expression involving the derivative and tangent vectors.
  • Another participant clarifies that the definition of the differential is contingent upon the chain rule, emphasizing the need to include all mappings involved in the differentiation process.

Areas of Agreement / Disagreement

Participants express varying levels of understanding and interpretation of the differential and its relation to the chain rule. There is no consensus on the best approach or interpretation, and some points remain contested.

Contextual Notes

Some participants highlight the importance of including all relevant mappings in the definitions, indicating potential limitations in the initial definitions provided. The discussion also reflects a dependence on specific examples and the nuances of differentiating functions on manifolds.

Maxi1995
Messages
14
Reaction score
0
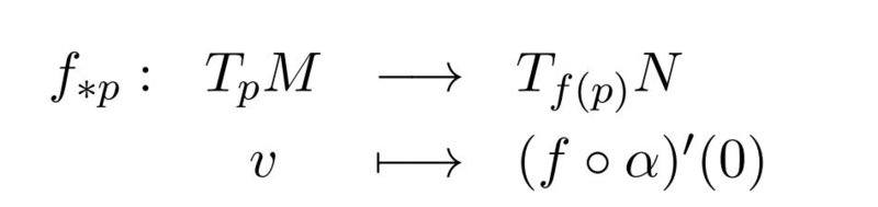
We define the differential of a function f in

$$p \in M$$,

where M is a submanifold as follows
Untitled01.jpg

In this case we have a smooth curve ans and interval I $$\alpha: I \rightarrow M;\\ \alpha(0)= p \wedge \alpha'(0)=v$$.

How can I get that derivative at the end by using the definitions of the derivative of a function in several variables?
 

Attachments

  • Untitled01.jpg
    Untitled01.jpg
    8 KB · Views: 711
Physics news on Phys.org
Thank you for your answer. So I got it right, that it is possible to interpret the differential via the chain rule as $$(f \circ\alpha)'(0)=df(\alpha(0))*\alpha'(0)=df(p)v?$$
 
You define ##df(\ldots)## in a way that the chain rule holds, so the other way around. I.e. first you get a function ##g## defined by the commutativity of
$$
\begin{equation*}
\begin{aligned}
M &\;\quad \stackrel{f}{\longrightarrow} &N\\
\downarrow{\varphi}&&\downarrow{\psi}\\
\mathbb{R}^m &\;\quad \stackrel{g}{\longrightarrow} &\mathbb{R}^n
\end{aligned}
\end{equation*}
$$
that is ##g=\psi \circ f\circ \varphi^{-1}## which you now can differentiate (with the chain rule) to define ##df##. You neglected ##\psi## in your equation.
 

Similar threads

  • · Replies 36 ·
2
Replies
36
Views
6K
  • · Replies 10 ·
Replies
10
Views
4K
  • · Replies 4 ·
Replies
4
Views
2K
  • · Replies 73 ·
3
Replies
73
Views
9K
  • · Replies 3 ·
Replies
3
Views
3K
  • · Replies 3 ·
Replies
3
Views
2K
  • · Replies 5 ·
Replies
5
Views
2K
  • · Replies 4 ·
Replies
4
Views
3K
  • · Replies 9 ·
Replies
9
Views
4K
  • · Replies 15 ·
Replies
15
Views
3K