Differentiation formula: Is this a typo?

Click For Summary

Discussion Overview

The discussion revolves around a potential typo in differentiation formulas related to error terms in Taylor series. Participants are examining the implications of a sign change in an error term after substituting positive values.

Discussion Character

  • Debate/contested, Conceptual clarification

Main Points Raised

  • One participant questions whether the sign change in the error term from positive to negative is a typo or if there is a theoretical explanation for it.
  • Another participant notes that the third term of a referenced equation is f”(x), suggesting it may be acceptable to have either a positive or negative value.
  • A later post summarizes the initial concern about the error term and connects it to the Taylor series, seeking clarification on whether this aligns with the original question.
  • One participant suggests transferring a term from the right-hand side to the left-hand side of an equation, indicating a possible method to address the confusion.
  • Another participant expresses that they have resolved their confusion regarding the notation used in the discussion.

Areas of Agreement / Disagreement

Participants do not appear to reach a consensus on whether the sign change is a typo or an intentional aspect of the theory. Multiple viewpoints and interpretations are present.

Contextual Notes

The discussion includes unresolved questions about the notation and the implications of the sign change in the error term, which may depend on specific definitions or contexts not fully articulated.

maistral
Messages
235
Reaction score
17
TL;DR
Resource found in the 'net, trying to know if this is a typo or not.
Red arrows.
1628420347688.png


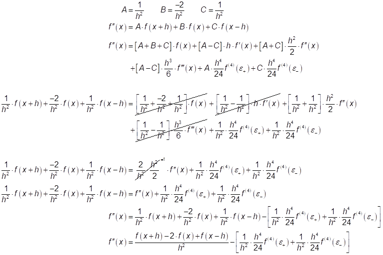
The notes initially say that the error term is positive. After substitution of A and C which are clearly positive, the term suddenly became negative...? Is this a typo, or is there a theory behind this?
 
Physics news on Phys.org
It seems OK observing that the third term of (5.14) is f”(x).
 
Last edited:
anuttarasammyak said:
It seems OK observing that the third term of (5.14) is f”(x).
What does this imply? That either positive or negative will work?
 
maistral said:
Summary:: Resource found in the 'net, trying to know if this is a typo or not.

Red arrows.
View attachment 287254

The notes initially say that the error term is positive. After substitution of A and C which are clearly positive, the term suddenly became negative...? Is this a typo, or is there a theory behind this?
It would seem to be the formula for an estimate of the error term in the Taylor series. Is this what your question was?
 
forlmula(5.14).jpg


Transfer the second term of RHS to LHS.
 
Last edited:
  • Like
Likes   Reactions: maistral
I finally got it! The notation was so confusing, sorry.

1628619319082.png


1628619341009.png
 
  • Like
Likes   Reactions: anuttarasammyak and WWGD

Similar threads

  • · Replies 2 ·
Replies
2
Views
5K
  • · Replies 7 ·
Replies
7
Views
2K
Replies
3
Views
2K
  • · Replies 2 ·
Replies
2
Views
2K
  • · Replies 19 ·
Replies
19
Views
5K
  • · Replies 1 ·
Replies
1
Views
2K
  • · Replies 38 ·
2
Replies
38
Views
5K
  • · Replies 3 ·
Replies
3
Views
2K
  • · Replies 22 ·
Replies
22
Views
4K
  • · Replies 19 ·
Replies
19
Views
4K