A-level differentiation/derivative dilemma

Click For Summary

Discussion Overview

The discussion revolves around the concepts of differentiation and derivatives, particularly in the context of A-level mathematics. Participants explore the definitions, physical meanings, and differences between functions and their derivatives, as well as the relationship between dy/dx and δy/δx.

Discussion Character

  • Exploratory
  • Technical explanation
  • Conceptual clarification
  • Debate/contested
  • Homework-related

Main Points Raised

  • One participant seeks clarification on the difference between a function and its derivative, asking about the physical meaning of derivatives.
  • Another participant explains that the derivative is defined at a point within the function's domain and may not exist at all points, using the absolute value function as an example.
  • There is a discussion about the physical interpretation of the derivative as the slope of the tangent to the graph of the function at a given point.
  • Participants explore the meaning of the derivative of the area of a circle with respect to its radius, relating it to the circumference.
  • One participant questions the difference between the terms "derivative" and "differentiation," suggesting that differentiation is the process of finding a derivative.
  • Another participant discusses the relationship between dy/dx and δy/δx, indicating that δy/δx represents the slope of a secant line, while dy/dx is the limit of this as the interval approaches zero.

Areas of Agreement / Disagreement

Participants express varying levels of understanding and interpretation regarding the definitions and meanings of derivatives and differentiation. There is no clear consensus on some of the more nuanced aspects, such as the physical meanings and implications of these concepts.

Contextual Notes

Some participants note the importance of specifying the domain and codomain of functions, which may not always be clear in exam questions. Additionally, there are references to concepts that may extend beyond the A-level curriculum, such as the fundamental theorem of calculus.

  • #31
Martin Harris said:
However I still don't get from where that partial derivative of V appeared from?I mean this ∂V
How was the transistion made from this −ln(NΛ3)+1 to the ∂V
From an earlier post.
This gives ##A = -Nk_BT[\ln(\frac V {N \Lambda^3}) + 1] ##, which can be simplified to ## -Nk_BT[\ln(V) - \ln(N \Lambda^3) + 1]##
Next, he takes the partial derivative of A with respect to V, getting
##\frac{\partial A}{\partial V} = -Nk_BT \cdot \frac {\partial} {\partial V}[\ln(V) - \ln(N \Lambda^3) + 1]##
##= -Nk_BT \frac {\partial \ln(V)} {\partial V}##
He's taking the partial with respect to V of both sides of the equation.
## \frac {\partial} {\partial V}[\ln(V) - \ln(N \Lambda^3) + 1] = \frac {\partial} {\partial V}[\ln(V)]##. Those two other terms drop out because their partial derivatives are zero.
 
  • Like
Likes   Reactions: Martin Harris
Physics news on Phys.org
  • #32
Mark44 said:
From an earlier post.He's taking the partial with respect to V of both sides of the equation.
## \frac {\partial} {\partial V}[\ln(V) - \ln(N \Lambda^3) + 1] = \frac {\partial} {\partial V}[\ln(V)]##. Those two other terms drop out because their partial derivatives are zero.
Riiiight, makes sense thank you very much , now understood this bit.
Also looking at picture, could you please tell me how he made transition from nkBT* dlnV/dv to NKbT/V ?

Thank you sir very much
 
  • #33
Martin Harris said:
Also looking at picture, could you please tell me how he made transition from nkBT* dlnV/dv to NKbT/V ?
What is ##\frac d {dx} [\ln(x)]##?
This is one of the first differentiation rules that you learned in calculus. You won't be able to follow a discourse in thermodynamics using partial derivatives if their are gaps in you knowledge of single-variable calculus.
 
  • Like
Likes   Reactions: Martin Harris
  • #34
Mark44 said:
What is ##\frac d {dx} [\ln(x)]##?
This is one of the first differentiation rules that you learned in calculus. You won't be able to follow a discourse in thermodynamics using partial derivatives if their are gaps in you knowledge of single-variable calculus.
Yes, I understood is 1/V because of the ln derivation.
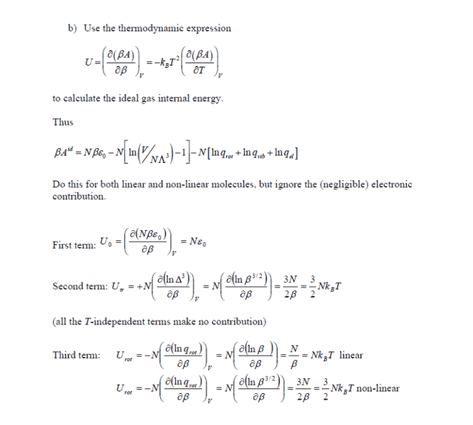
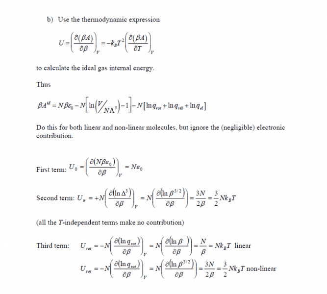
In this 2nd picture could you please tell me how he recognized , how did he found out that those terms are 1st term 2nd term 3rd term ?What was the criteria?How he identified which term is 1st which is 2nd and how?
Please see below
Capture2.PNG

Thank you in advance
 
Last edited by a moderator:
  • #35
And last confusion I have is regarding this problem.
Please have a look below if possible.
C1.PNG
C2PNG.PNG
C3.PNG


In 1st picture we have the formulas for various energies.
In 2nd picture I solved the exercise plugging in numbers in the formula and I got right answer.
My problem is in the 3rd picture.
that 35335 comes from ΔU=ϑCvΔT I guess, but why?
And also when I try to compute the other 2 terms from the brackets I cannot manage to get that values?
I use same formulas as in 1st picture but instead of T=300K I put T=2000K and still don't get the values.

Thank you very much for your understanding and cooperation.
 

Attachments

  • upload_2016-10-10_20-42-35.png
    upload_2016-10-10_20-42-35.png
    13.8 KB · Views: 533
  • #36
Martin Harris said:
Yes, I understood is 1/V because of the ln derivation.
In this 2nd picture could you please tell me how he recognized , how did he found out that those terms are 1st term 2nd term 3rd term ?What was the criteria?How he identified which term is 1st which is 2nd and how?
Please see below
View attachment 107257
Thank you in advance
Referring to the equation that starts with
"##\beta A^{id} = \dots##"
He's taking the partial with respect to ##\beta## of both sides of that equation.
The order "first", "second", "third" is simply the order of the terms on the right side of the equation.
First term -- is the first term on the right side of the equation.
Second term -- is the second term on the right side of the equation, but I don't see the connection between the second term in the equation above and the work he shows here. There is apparently some substitution going on, but what the image you attached doesn't show what it is.
Third term -- is -N times the first term in the last pair of brackets; namely, ##-N\ln(q_{rot})##. How that is related to ##\ln(\beta)##, I have no idea -- there is not enough information shown in the image.
The remaining terms are independent of T (so it says), so can be ignored.
 
  • #37
Martin Harris said:
My problem is in the 3rd picture.
that 35335 comes from ΔU=ϑCvΔT I guess, but why?
No idea. I looked pretty closely for this formula, but I was not able to find it.
BTW, this character -- ϑ -- is "theta" in something that I think is a cursive script.
Do you mean this character -- ∂ -- ? I don't know a name for it, but it's the one used in partial derivatives. You can find it at the right end of the first row of the symbols under the Σ menu item.
Martin Harris said:
And also when I try to compute the other 2 terms from the brackets I cannot manage to get that values?
I use same formulas as in 1st picture but instead of T=300K I put T=2000K and still don't get the values.
 
  • Like
Likes   Reactions: Martin Harris
  • #38
Mark44 said:
No idea. I looked pretty closely for this formula, but I was not able to find it.
BTW, this character -- ϑ -- is "theta" in something that I think is a cursive script.
Do you mean this character -- ∂ -- ? I don't know a name for it, but it's the one used in partial derivatives. You can find it at the right end of the first row of the symbols under the Σ menu item.
Thank you for your answers, I was trying to refer to that symbol as Niu(Number of moles)
 
  • #39
Martin Harris said:
I was trying to refer to that symbol as Niu(Number of moles)
Greek letter nu? That would be ##\nu## (lowercase). Uppercase Nu looks just like the Roman letter N.
 

Similar threads

  • · Replies 9 ·
Replies
9
Views
2K
  • · Replies 1 ·
Replies
1
Views
2K
  • · Replies 12 ·
Replies
12
Views
4K
  • · Replies 40 ·
2
Replies
40
Views
7K
  • · Replies 2 ·
Replies
2
Views
2K
  • · Replies 2 ·
Replies
2
Views
3K
  • · Replies 6 ·
Replies
6
Views
4K
  • · Replies 4 ·
Replies
4
Views
3K
  • · Replies 4 ·
Replies
4
Views
4K
  • · Replies 1 ·
Replies
1
Views
3K