Does the Bullet Cluster Disprove MOND and Challenge ΛCDM?

  • Context: Graduate 
  • Thread starter Thread starter Earnest Guest
  • Start date Start date
  • Tags Tags
    Bullet mond
Click For Summary

Discussion Overview

The discussion centers around the implications of the Bullet Cluster observations for two cosmological models: Modified Newtonian Dynamics (MOND) and Lambda Cold Dark Matter (ΛCDM). Participants explore whether the Bullet Cluster disproves MOND and how it relates to the ΛCDM framework, particularly in the context of gravitational lensing and mass distribution in galaxy clusters.

Discussion Character

  • Debate/contested
  • Technical explanation
  • Conceptual clarification

Main Points Raised

  • Some participants argue that the Bullet Cluster does not prove ΛCDM but rather disproves MOND, suggesting that MOND's inability to account for the observed gravitational lensing is significant.
  • Others propose that the collision velocity of the Bullet Cluster may not be inconsistent with ΛCDM, and that MOND's failure to explain the observations is notable.
  • A participant mentions that tensor-vector-scalar gravity (TeVeS) has been used to explain the Bullet Cluster but requires additional assumptions, such as the introduction of a new type of neutrino.
  • Concerns are raised about the significance of gravitational lensing following visible mass rather than gas, with some suggesting that this indicates a discrepancy in how mass is distributed in the cluster.
  • Participants request estimates of the mass of the hot gas in the Bullet Cluster, expressing confusion over the mass distribution and its implications for the models discussed.
  • Some participants challenge the validity of papers that claim consistency with ΛCDM, arguing that they may be circular in reasoning by assuming ΛCDM to derive conclusions.
  • There is a call for references that measure the mass of superheated gas without assuming ΛCDM, indicating a desire for independent verification of claims regarding baryonic mass distribution.

Areas of Agreement / Disagreement

Participants express a range of views on the implications of the Bullet Cluster for MOND and ΛCDM, with no consensus reached. Some agree on the limitations of MOND in explaining the observations, while others defend the viability of ΛCDM and question the assumptions underlying critiques of it.

Contextual Notes

Participants note the complexity of mass distribution in the Bullet Cluster, including the roles of dark matter and baryonic matter, and highlight the need for further empirical evidence to support claims made by various models. There is also mention of the challenges in reconciling different theoretical frameworks with observational data.

  • #31
Earnest Guest: I think you've missed the point of the assumption of hydrostatic equilibrium. This assumption is not needed in order to measure the total mass of gas. The gas mass can be measured from the X-ray luminosity alone. The assumption of hydrostatic equilibrium is used to estimate the total gravitational mass of the cluster. This is why we believe that these clusters have a large component of dark matter. Without it, the pressure of the gas is large enough that the gas would basically blow away into intergalactic space.

Your question of what keeps the gas in these clusters hot (i.e. why don't they cool off and stop radiating?) is a good one, and it is an area of active research. It is believed that there are large energy outflows from super massive black holes in the massive galaxies near the cluster centers, and these energy outflows are continually stirring and heating the hot gas. However, this is only one hypothesis and there are other possibilities.
 
Space news on Phys.org
  • #32
phyzguy said:
They are two different things.
Yes, I see that now, but I still can't get my head around this basic physical fact: if the energy is not renewed, then the X-Ray radiation will cool down to the CMBR. Why do we assume that the radiation is from braking (which is a one-time energy output) and not from the pressure exerted on the gas by gravity (which would be a constant source of energy)?
 
  • #33
On MOND specifically, I think another problem is that there are many individual collisional clusters like the Bullet Cluster. IIRC astrophysicist Siegel has claimed that when you fudge MOND to fit one, it won't fit the rest, and so on. If there are tens of such cluster, and I think there is, the combinations of predictive fails increase at a staggering rate. (I should check all this, but I'll let it stand for the time being, I am procrastinating from a deadline.)

On inflationary LambdaCDM cosmology, besides that dark matter is observed in so many ways now, we should also mind that it has become the best theory predicting structures on _all_ scales. Specifically it does much better than MOND on galaxies:

fig3.png

Fig 2 – The left panel shows the velocity function, which is the number distribution of galaxies as a function of line of sight rotational velocity, Vlos. Ignoring the dark purple line which indicates maximum circular velocity for Cold Dark Matter (CDM), the DC14 model in red is contested against the NFW profile in light purple. The right figure relates Vlos with galaxy stellar mass M*, ie the Tully-Fisher relation. The data points are observational results. In both plots, the DC14 model closely tracks observations while the NFW profile deviates far from observations. Figure 2 from paper.

The DC14 is CDM in realistic galaxies with supernova outflows, and it matches observations.

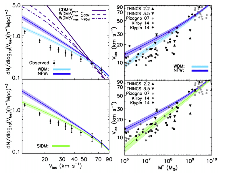
"But what about alternative dark matter models like warm dark matter (WDM) and self-interacting dark matter (SIDM)? As we briefly touched in the beginning, they are partly conceived to resolve the cusp-core problem. In fact, WDM and SIDM are also mass-dependent like the DC14 model, but not in exactly the same way. So, how do they fare in predicting the velocity function and the Tully-Fisher relation for galaxies? Figure 3, our last figure of the day, shows exactly this. Despite doing better than the NFW profile, both WDM and SIDM are not able to fit the velocity function and Tully-Fisher relation as well as we expect."

fig4.png


Fig 3 – These are the same plots as Figure 3 with the left figures showing the velocity functions and the right figures showing the Tully-Fisher relations, but comparing warm dark matter (WDM) in blue and self-interacting dark matter (SIDM) in green against the NFW profile in purple. Figure 4 in paper.

[ http://astrobites.org/2015/06/12/the-labor-of-outflows-against-dark-matter-halo/ ]

If WDM and SIDM, who didn't have the CDM cusp-core problem, does as well as MOND, and now do worse than CDM - because the natural core cusp being obliterated by supernova flows is the correct physics - MOND should also follow the Fig 3 type of "fail" curve.
 
Last edited:
  • #34
I'm not sure what all that has to do with the estimation of cluster gas mass from X-Ray radiation. Could you connect the dots for me?
 
  • #35
Earnest Guest said:
Yes, I see that now, but I still can't get my head around this basic physical fact: if the energy is not renewed, then the X-Ray radiation will cool down to the CMBR. Why do we assume that the radiation is from braking (which is a one-time energy output) and not from the pressure exerted on the gas by gravity (which would be a constant source of energy)?

The pressure exerted on the gas by gravity is not a source of energy. Power (rate of change of energy with time) is force dotted with velocity. So a constant force with no motion is not a source of energy. Just like a weight hanging on a hook requires no energy input, despite the constant gravitational force. So in order for the force of gravity to input energy into the gas, the gas would have to move in the direction of the gravitational force. In other words, the gas cloud would need to be collapsing under the influence of gravity. This is one possibility for the source of the energy input. We do not know for sure that these clusters are stable over very long times. However, we believe that they are relatively stable, and that there is a source of energy which is keeping them from collapsing.

Two other points. First - you say that without a source of energy input the gas would cool down to the temperature of the CMB. The is true, but this would take a very long time. The cooling time constants for these clouds of hot gas is billions of years, so the universe has not been around long enough for them to cool that much, even if there were no energy input.

Second, the radiation is almost certainly from bremsstrahlung - braking radiation. But your comment seems to imply that you are picturing the radiation as being due to the braking of the gas as a whole. This is not right. What is experiencing the "braking" is the individual electrons in the gas. An electron encounters a much heavier nucleus, and is accelerated from its interaction with the nucleus. Since an accelerated charge radiates, it emits radiation. The theory of bremsstrahlung is quite well understood, and the radiation from the hot gas in these clusters matches what we would expect quite well.
 
  • #36
Earnest Guest said:
I'm not sure what all that has to do with the estimation of cluster gas mass from X-Ray radiation. Could you connect the dots for me?

Are you asking me about 'all that' (figures for rapid reading)? My comment should be self explanatory, but I'll repeat:

1. There are many clusters, so presumably many mutual failures in tests of MOND.
2. LambdaCDM is better than MOND or any other theory on structures at all scales, including those that MOND was ad hoc constructed to do a fair job on. (So why bother with the failures?)
 
  • #37
Torbjorn_L said:
Are you asking me about 'all that' (figures for rapid reading)? My comment should be self explanatory, but I'll repeat:

1. There are many clusters, so presumably many mutual failures in tests of MOND.
2. LambdaCDM is better than MOND or any other theory on structures at all scales, including those that MOND was ad hoc constructed to do a fair job on. (So why bother with the failures?)
I don't want this discussion to devolve into a MOND vs LCDM discussion because I don't believe in either, but as long as you brought up failures, perhaps you should do some reading about LUX, the LHC and the Standard Model of Quantum Physics. LCDM works great except for the part where there's no candidates left for dark matter particles. Short story: if it existed at any of the possible energy levels, we would have found it by now in the LHC. If it interacted with matter, it would have sparked up the tank at LUX.
 
  • #38
Earnest Guest said:
Don't put words in my mouth. I mean the Second Law of Motion isn't accurate. The failure of MOND is related to their attempt to fix gravity, which works just fine.
Okay. But Newton's second law of motion is one of those things that is true by definition. It is a definition of what we mean when we used the word "force" in a Newtonian context. I don't think it's possible to get it wrong within the regime where Newtonian mechanics holds, which it definitely does here.
 
  • #39
Earnest Guest said:
OK, so then (1) how do you calculate the pressure and (2) will doubling the pressure double the temperature?
If you have the volume of the gas, you can calculate the pressure. This requires some assumptions about the extent of the cluster along the line of sight. One common assumption is to just assume it's spherical.

As for doubling the pressure, that depends. The gas is likely to change volume as well, so the resulting temperature change depends upon precisely how you change the pressure.
 
  • #40
Earnest Guest said:
Yes, I see that now, but I still can't get my head around this basic physical fact: if the energy is not renewed, then the X-Ray radiation will cool down to the CMBR. Why do we assume that the radiation is from braking (which is a one-time energy output) and not from the pressure exerted on the gas by gravity (which would be a constant source of energy)?
Sort of. A self gravitating cloud of gas increases in temperature as it releases energy. This is why stars are hot, for example. As the cloud releases energy, it collapsed in on itself, reducing is volume and increasing its pressure. Because there is now more matter in a smaller volume, the gravitational attraction between the atoms in the gas also increases.

You can slow or stop the collapse by having some process dump energy into it. Stars stop collapsing for this reason: the nuclear furnace at their core provides a steady source of energy. Presumably the formation of galaxies within a cluster likewise slow the collapse of the cluster gas, particularly when AGN's turn on.
 
Last edited:
  • #41
Chalnoth said:
You can slow or stop the collapse by having some process dump energy into it. Stars stop collapsing for this reason: the nuclear furnace at their core provides a steady source of information. Presumably the formation of galaxies within a cluster likewise slow the collapse of the cluster gas, particularly when AGN's turn on.
So to wrap it up, the P = n k T relation isn't needed because the flux and the temperature can have only one density and you simply multiply that density by the volume to get the mass. So if you doubled the pressure, you'd double the flux, but the temperature would stay the same?
 
  • #42
Earnest Guest said:
So to wrap it up, the P = n k T relation isn't needed because the flux and the temperature can have only one density and you simply multiply that density by the volume to get the mass. So if you doubled the pressure, you'd double the flux, but the temperature would stay the same?
Not quite. As I said earlier: it depends upon how the pressure is doubled. Would this be an isothermal process? An adiabatic process?
 

Similar threads

  • · Replies 4 ·
Replies
4
Views
2K
  • · Replies 41 ·
2
Replies
41
Views
5K
  • · Replies 0 ·
Replies
0
Views
2K
  • · Replies 35 ·
2
Replies
35
Views
4K
  • · Replies 11 ·
Replies
11
Views
5K
  • · Replies 17 ·
Replies
17
Views
6K
  • · Replies 2 ·
Replies
2
Views
3K
  • · Replies 1 ·
Replies
1
Views
4K
  • · Replies 8 ·
Replies
8
Views
4K
  • · Replies 14 ·
Replies
14
Views
5K