Does the Chain Rule Apply to This Derivative?

  • Thread starter Thread starter asi123
  • Start date Start date
  • Tags Tags
    Derivative
Click For Summary

Homework Help Overview

The discussion revolves around the application of the chain rule in calculus, specifically in the context of derivatives involving functions of multiple variables. Participants are examining the correctness of a derivative expression and the implications of applying the chain rule.

Discussion Character

  • Conceptual clarification, Mathematical reasoning, Assumption checking

Approaches and Questions Raised

  • Participants are questioning the validity of a derivative expression and discussing the role of the chain rule in deriving it. There are attempts to clarify the meaning of certain terms and expressions used in the problem.

Discussion Status

The discussion is ongoing, with some participants offering insights into the application of the chain rule and suggesting possible simplifications. There is a lack of explicit consensus on the correctness of the initial expressions, and multiple interpretations of the problem are being explored.

Contextual Notes

There are indications of confusion regarding the notation used, particularly with respect to the variables involved and their relationships. The original poster's question about the presence of 'y' in the derivative suggests a need for clarification on the functions and their dependencies.

asi123
Messages
254
Reaction score
0

Homework Statement



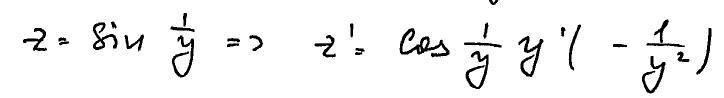
Guys, is this right?
And if it is, from the the y' got in there?

Homework Equations





The Attempt at a Solution

 

Attachments

  • 1.jpg
    1.jpg
    6.7 KB · Views: 387
Physics news on Phys.org


asi123 said:

Homework Statement



Guys, is this right?
And if it is, from the the y' got in there?

Homework Equations





The Attempt at a Solution


You should use imageshack/other for images
 


The answer looks reasonable - perhaps multiply the two negatives.
I'm not sure what you mean by "And if it is, from the the y' got in there?"
 


Here, z and y are both functions of some other variable, perhaps x or t. If z= f(y) and y is itself a function of x, then, by the chain rule
[tex]\frac{dz}{dx}= \frac{dz}{dy}\frac{dy}{dx}[/tex]

If, in particular, z= sin(1/y)= sin(y-1), and y is a function of x, then
[tex]\frac{dz}{dx}= cos(1/y)(-1/y^2)\frac{dy}{dz}[/tex]
or, the ' notation,
z'= cos(1/y)(-1/y2)y'= (-cos(1/y)/y2)y'
 

Similar threads

  • · Replies 3 ·
Replies
3
Views
2K
Replies
2
Views
2K
Replies
2
Views
2K
  • · Replies 1 ·
Replies
1
Views
2K
  • · Replies 5 ·
Replies
5
Views
2K
Replies
2
Views
1K
  • · Replies 4 ·
Replies
4
Views
1K
  • · Replies 2 ·
Replies
2
Views
2K
  • · Replies 8 ·
Replies
8
Views
2K
  • · Replies 4 ·
Replies
4
Views
2K