Why Is the Chain Rule Not Used in Differentiating h(x) = 3f(x) + 8g(x)?

Click For Summary
SUMMARY

The discussion clarifies why the chain rule is not applicable in differentiating the function h(x) = 3f(x) + 8g(x). The key point is that both f(x) and g(x) are direct functions of x without any inner functions, making the chain rule unnecessary. Instead, the derivative h'(x) is computed using the sum rule and constant multiple rules, resulting in h'(x) = 3f'(x) + 8g'(x). This approach allows for straightforward calculation of h'(4) without involving inner functions.

PREREQUISITES
  • Understanding of basic differentiation rules, including the sum rule and constant multiple rule.
  • Familiarity with function notation and derivatives.
  • Knowledge of composite functions and the chain rule in calculus.
  • Ability to evaluate derivatives at specific points, such as h'(4).
NEXT STEPS
  • Review the sum rule and constant multiple rule in differentiation.
  • Study the chain rule and its application in differentiating composite functions.
  • Practice differentiating various functions, including trigonometric and polynomial functions.
  • Explore examples of functions with inner functions to understand when to apply the chain rule.
USEFUL FOR

Students learning calculus, particularly those focusing on differentiation techniques, as well as educators seeking to clarify common misconceptions about the chain rule and its applications.

member 731016
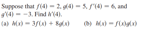
Homework Statement
Please see below
Relevant Equations
Please see below
For part(a),
1683504334746.png

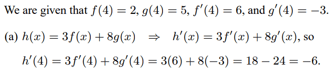
The solution is,
1683504351004.png

However, why do they not take the derivative of the inner function (if it exists) of f(x) or g(x) using the chain rule? For example if ##f(x) = \sin(x^2)##

Many thanks!
 
Physics news on Phys.org
ChiralSuperfields said:
Homework Statement: Please see below
Relevant Equations: Please see below

For part(a),
View attachment 326130
The solution is,
View attachment 326131
However, why do they not take the derivative of the inner function (if it exists) of f(x) or g(x) using the chain rule? For example if ##f(x) = \sin(x^2)##

Many thanks!
There is no inner function. The chain rule is for a composition of functions, like f(g(x)). That does not appear in this problem. The derivative is with respect to x and both f(x) and g(x) are direct functions of x.
 
  • Like
Likes   Reactions: member 731016
ChiralSuperfields said:
However, why do they not take the derivative of the inner function (if it exists) of f(x) or g(x) using the chain rule?
As already noted, there is no "inner function," but the derivative of h(x) (i.e., h'(x)) requires only the use of the sum rule and constant multiple rules for derivatives. Thus h'(x) = 3f'(x) + 8g'(x). From the given information it's easy to calculate h'(4).

BTW, you don't take "h'(x) of h(x)" similar to what you have in the title. You can find the derivative of h(x) or differentiate h(x).
 
  • Like
Likes   Reactions: member 731016

Similar threads

Replies
2
Views
2K
  • · Replies 5 ·
Replies
5
Views
2K
  • · Replies 10 ·
Replies
10
Views
2K
  • · Replies 3 ·
Replies
3
Views
2K
  • · Replies 8 ·
Replies
8
Views
2K
  • · Replies 4 ·
Replies
4
Views
2K
  • · Replies 7 ·
Replies
7
Views
3K
  • · Replies 5 ·
Replies
5
Views
2K
  • · Replies 3 ·
Replies
3
Views
2K
  • · Replies 2 ·
Replies
2
Views
2K