DSB-SC Signal from Homework Statement

Click For Summary
SUMMARY

The discussion focuses on generating a Double Sideband Suppressed Carrier (DSB-SC) signal from a given original signal. Participants emphasize the necessity of multiplying the original signal by a carrier wave and applying Fourier transforms. The equation derived includes terms such as \(m^2(t) + 2m(t)A_c \cos(2\pi f_c t) + A_c^2 \cos^2(2\pi f_c t)\). A key point raised is the potential DC bias introduced by \(m^2(t)\) and whether this bias can be utilized in the process.

PREREQUISITES
  • Understanding of DSB-SC signal generation
  • Familiarity with Fourier transforms
  • Knowledge of signal modulation techniques
  • Basic proficiency in LaTeX for mathematical expressions
NEXT STEPS
  • Study the process of DSB-SC signal generation in detail
  • Learn about the implications of DC bias in modulation
  • Explore Fourier transform applications in signal processing
  • Investigate the use of LaTeX for presenting mathematical equations
USEFUL FOR

Students in electrical engineering, signal processing professionals, and anyone involved in communications systems design will benefit from this discussion.

Cocoleia
Messages
293
Reaction score
4

Homework Statement


I am giving the following signal:
upload_2018-3-14_19-44-58.png

and asked to get the DSB-SC signal of this

Homework Equations


3. The Attempt at a Solution [/B]
So, I know a few things.

My prof writes that
upload_2018-3-14_19-46-27.png

I would have to multiply my original signal out and then take the Fourier transforms accordingly ?
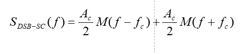
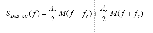
Yet, another source suggests:
upload_2018-3-14_19-48-4.png


I was trying to multiply it out to get
m^2(t)+2m(t)Accos(2pifct)+Ac^2cos^2(2pifct)
then I would have to take the Fourier transform but set it to f-fc. I would be unsure how to proceed with the m^2(t), so I feel like i am doing something wrong
 

Attachments

  • upload_2018-3-14_19-44-58.png
    upload_2018-3-14_19-44-58.png
    3.8 KB · Views: 1,131
  • upload_2018-3-14_19-46-27.png
    upload_2018-3-14_19-46-27.png
    1.9 KB · Views: 977
  • upload_2018-3-14_19-48-4.png
    upload_2018-3-14_19-48-4.png
    22.8 KB · Views: 2,116
Physics news on Phys.org
Cocoleia said:

Homework Statement


I am giving the following signal:
View attachment 222006
and asked to get the DSB-SC signal of this

Homework Equations


3. The Attempt at a Solution [/B]
So, I know a few things.

My prof writes that
View attachment 222007
I would have to multiply my original signal out and then take the Fourier transforms accordingly ?
Yet, another source suggests:
View attachment 222008

I was trying to multiply it out to get
m^2(t)+2m(t)Accos(2pifct)+Ac^2cos^2(2pifct)
then I would have to take the Fourier transform but set it to f-fc. I would be unsure how to proceed with the m^2(t), so I feel like i am doing something wrong
Please use LaTeX to write your equations. (See https://www.physicsforums.com/help/latexhelp/.) It makes them much easier to read and greatly increases the likelihood that you will receive replies to your posts.
Won't ##m^2(t)## have a DC bias? Can you make use of that bias?
 

Similar threads

  • · Replies 9 ·
Replies
9
Views
2K
  • · Replies 4 ·
Replies
4
Views
2K
  • · Replies 1 ·
Replies
1
Views
2K
  • · Replies 2 ·
Replies
2
Views
2K
Replies
1
Views
2K
  • · Replies 3 ·
Replies
3
Views
1K
  • · Replies 3 ·
Replies
3
Views
2K
  • · Replies 5 ·
Replies
5
Views
2K
  • · Replies 3 ·
Replies
3
Views
1K
  • · Replies 3 ·
Replies
3
Views
2K