E-field of solid sphere with non-uniform charge density

Click For Summary

Homework Help Overview

The discussion revolves around determining the electric field of a solid sphere with a non-uniform charge density. The original poster expresses confusion regarding a discrepancy between their integration results and the provided solution, specifically questioning the values obtained.

Discussion Character

  • Exploratory, Assumption checking, Problem interpretation

Approaches and Questions Raised

  • The original poster attempts to integrate the charge density and apply Gauss's law but encounters a differing result. Participants question the completeness of the original poster's information and emphasize the need for clarity regarding the charge density function.

Discussion Status

The discussion is ongoing, with participants requesting additional details from the original poster to facilitate understanding. There is a suggestion that the charge density may be spherically symmetrical, and some guidance has been offered regarding the necessity of showing work to identify potential errors.

Contextual Notes

Participants note the importance of providing the exact problem statement and relevant equations, as well as the potential implications of the charge density function on the solution.

mncyapntsi
Messages
38
Reaction score
4
Homework Statement
Charge is distributed throughout a spherical volume of radius R with a density
where is a constant. Determine the electric field due to the charge at points both inside and outside the sphere.
Relevant Equations
netEflux = qin/e0, and EA = qin/e0
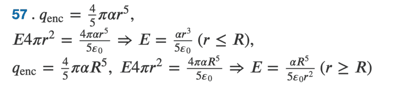
Hi! I've been trying to attempt this problem over here but the solutions state that the solution is this below?
Screen Shot 2022-04-15 at 11.35.07 AM.png

However, from integrating the density and then plugging it into Gauss's law, I get the exact same thing, except a 15 instead of a 5. Could any please help point out if there is an error on my part, or if there is perhaps a type on the solutions?
Thanks a lot!
 
Physics news on Phys.org
Your post is missing many relevant equations
 
And we can't tell where your mistakes, if any, are if you don't show us your work.
 
You got to tell us what is the given function of the charge density. I suspect that it is something that is spherically symmetrical. Generally when you write for a homework problem here in PF, it is of most importance to give the exact statement of the problem as it is given to you or written in the book you using.

Edit: Is the given charge density $$\rho=ar^2$$? If yes then the book solution is correct.

BUT as others have already said, you must show us your own solution if you want us to pinpoint your mistakes
 
Last edited:

Similar threads

  • · Replies 2 ·
Replies
2
Views
2K
Replies
14
Views
2K
  • · Replies 1 ·
Replies
1
Views
2K
Replies
17
Views
2K
  • · Replies 11 ·
Replies
11
Views
2K
  • · Replies 1 ·
Replies
1
Views
1K
Replies
2
Views
3K
Replies
2
Views
2K
Replies
9
Views
2K
  • · Replies 26 ·
Replies
26
Views
3K