Efficiently Enter Transfer Function with PID Control in Matlab

  • Context: MATLAB 
  • Thread starter Thread starter coolkav55
  • Start date Start date
  • Tags Tags
    Functions Matlab
Click For Summary
SUMMARY

The discussion focuses on entering a closed-loop transfer function with PID control into MATLAB. Users are directed to relevant resources, specifically a link to a Wikibooks page that details the process of implementing control systems in MATLAB. The conversation emphasizes the importance of understanding transfer functions and PID control for effective system modeling. MATLAB's capabilities in handling such functions are highlighted as essential for control system analysis.

PREREQUISITES
  • Understanding of closed-loop transfer functions
  • Familiarity with PID control theory
  • Basic knowledge of MATLAB programming
  • Experience with control system analysis techniques
NEXT STEPS
  • Research how to implement PID controllers in MATLAB using the Control System Toolbox
  • Learn about MATLAB's 'tf' function for defining transfer functions
  • Explore the 'step' function in MATLAB for analyzing system responses
  • Study the effects of tuning PID parameters on system performance
USEFUL FOR

Control engineers, MATLAB users, and students studying control systems who need to implement and analyze PID control in their projects.

coolkav55
Messages
1
Reaction score
0
Hey,

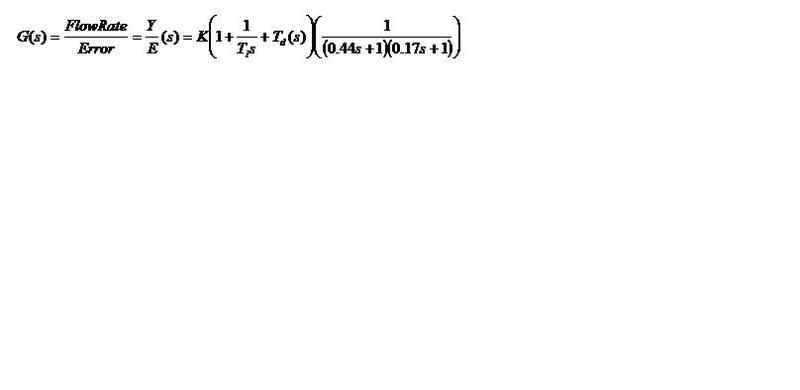
How would i go about entering this transfer function (attached) into matlab? Its the closed loop TF with PID control.

Thanks
 

Attachments

  • Transfer Equation.jpg
    Transfer Equation.jpg
    6 KB · Views: 490
Physics news on Phys.org

Similar threads

Replies
1
Views
2K
  • · Replies 5 ·
Replies
5
Views
3K
  • · Replies 2 ·
Replies
2
Views
4K
  • · Replies 1 ·
Replies
1
Views
3K
  • · Replies 14 ·
Replies
14
Views
3K
  • · Replies 3 ·
Replies
3
Views
1K
  • · Replies 1 ·
Replies
1
Views
3K
Replies
2
Views
2K
  • · Replies 1 ·
Replies
1
Views
2K
Replies
5
Views
3K