Eigenfunction expansion with chebyshev

Click For Summary

Discussion Overview

The discussion revolves around solving a differential equation involving Chebyshev polynomials, specifically focusing on the eigenfunction expansion method. Participants explore the formulation of the equation in self-adjoint form and the subsequent steps to find coefficients for a series representation of a given function.

Discussion Character

  • Exploratory
  • Technical explanation
  • Mathematical reasoning
  • Debate/contested

Main Points Raised

  • One participant presents a differential equation and reformulates it into self-adjoint form, identifying it as related to Chebyshev polynomials.
  • Another participant suggests using a linear combination of Chebyshev polynomials to express the function \(x^4 + x\) and provides specific polynomial forms for \(T_0\), \(T_1\), \(T_2\), and \(T_4\).
  • There is a claim that the expression \(x^4 + x\) can be represented as a linear combination of Chebyshev polynomials, but uncertainty arises regarding the correctness of the coefficients derived.
  • Participants discuss the implications of substituting specific Chebyshev polynomials back into the original differential equation, revealing discrepancies in expected eigenvalues.
  • Another participant raises a question about the implications of a second related equation and whether it relates to Sturm-Liouville theory, speculating on the boundedness of solutions.
  • One participant elaborates on the self-adjoint nature of the operator involved and its implications for the range of functions it can produce, leading to a contradiction regarding the existence of a solution for \(L(u) = x^4\).

Areas of Agreement / Disagreement

Participants express differing views on the correctness of the coefficients for the linear combination of Chebyshev polynomials and whether the derived expressions satisfy the original differential equation. The discussion remains unresolved regarding the exact nature of the solution and the implications of the second question posed.

Contextual Notes

Participants note that the eigenvalues derived from the Chebyshev polynomials may not align with those expected from the original differential equation, indicating potential complications introduced during the transformation to self-adjoint form. There is also mention of the operator's self-adjointness and its implications for the existence of solutions.

nacho-man
Messages
166
Reaction score
0
I am absolutely dying with this question.

Ok so referring to the attached image;
we can re-iterate the given equation in SL-Form.

so

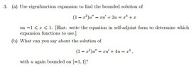
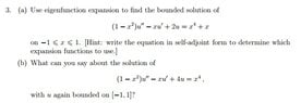
$(1-x^2)u'' - xu' + 2u =0 $

divide everything by $\sqrt{1-x^2}$
so we get

$\sqrt{1-x^2}u'' - \frac{x}{\sqrt{1-x^2}} u' + \frac{2}{\sqrt{1-x^2}}u=0$

which may be re-written in self-adjoint form:
$(\sqrt{1-x^2}u')' + \frac{2}{\sqrt{1-x^2}} u =0 $ on $-1\le x\le 1$

which is our beloved chebyshev!

SOOOOO let's begin..

I know that our eigen values $\lambda = n^2$
That $u_n(x) = T_n(x) = \cos(n \arccos x)$

How do I solve for this?

I tried :

$\sum_{n=0}^{\infty} a_n T_n(x) = f(x) = x^4 + x$but where do I go from here?

I'll have to solve for $a_n$ to get this particular solution;
but the integral is insane:

$a_n = \frac{1}{\pi}$ $\int_{-1}^{1} $ $\frac{x^4+x}{\sqrt{1-x^2}}\,dx$ for $n=0$
and

$a_n = \frac{2}{\pi} \int_{-1}^{1} \frac{T_n(x)(x^4+x)}{\sqrt{1-x^2}}\,dx$ for $ n = 1, 2, ...$
Blah^^^^ ?
Tried making a substution, letting $x =\cos\left({\theta}\right)$, dx = $- \sin\left({\theta}\right)$

but it gave me a non-convergent integral

can I get some guidance on where to go further? or if I am on the right track, because I am not sure at this stage.
 

Attachments

  • dddddddddddddd.jpg
    dddddddddddddd.jpg
    14.5 KB · Views: 182
Last edited:
Physics news on Phys.org
nacho said:
I am absolutely dying with this question.

Ok so referring to the attached image;
we can re-iterate the given equation in SL-Form.

so

$(1-x^2)u'' - xu' + 2u =0 $

divide everything by $\sqrt{1-x^2}$
so we get

$\sqrt{1-x^2}u'' - \frac{x}{\sqrt{1-x^2}} u' + \frac{2}{\sqrt{1-x^2}}u=0$

which may be re-written in self-adjoint form:
$(\sqrt{1-x^2}u')' + \frac{2}{\sqrt{1-x^2}} u =0 $ on $-1\le x\le 1$

which is our beloved chebyshev!

SOOOOO let's begin..

I know that our eigen values $\lambda = n^2$
That $u_n(x) = T_n(x) = \cos(n \arccos x)$

How do I solve for this?

I tried :

$\sum_{n=0}^{\infty} a_n T_n(x) = f(x) = x^4 + x$but where do I go from here?
Assuming that you are correct so far, you can use the fact that $$T_0(x) = 1,$$ $$T_1(x) = x,$$ $$T_2(x) = 2x^2 - 1,$$ $$T_4(x) = 8x^4 - 8x^2 + 1,$$ to express $x^4+x$ as a linear combination of $T_0,$ $T_1,$ $T_2$ and $T_4$. You don't need an infinite sum, or fancy integrals to calculate the coefficients. Just use elementary algebra.
 
so $x^4 + x = \frac{1}{8} T_4(x) + \frac{1}{2}T_2(x) + \frac{3}{8}T_0(x) + T_1(x)$

Is this my solution to the question?
 
Last edited by a moderator:
nacho said:
so $x^4 + x $ = \frac{1}{8} T_4(x) + \frac{1}{2}T_2(x) + \frac{3}{8}T_0(x) + T_1(x)$

Is this my solution to the question?
It doesn't seem to be quite as simple as that. If you put $u = T_2(x)$ in the original equation then you find that $$(1-x^2)T_2''(x) - xT_2'(x) + 2T_2(x) = 2T_2(x).$$ Do the same thing for $u=T_4(x)$ and you get $$(1-x^2)T_4''(x) - xT_4'(x) + 2T_4(x) = -14T_4(x).$$ I'm not sure where those multiples are coming from, but they don't look like your claimed eigenvalues $\lambda = n^2.$ Maybe dividing by $\sqrt{1-x^2}$ introduced some extra complication. Anyway, it should still be true that if you take $u$ to be an appropriate linear combination of $T_0$, $T_1$, $T_2$ and $T_4$ then you can get the right-hand side of the equation to come to $x^4+x$.

As always with a differential equation, the only sure-fire way to know whether you have found the correct answer is to substitute it into the original equation and see if it works.
 
Hey opalg, just a little curious why you subbed in $T_4(x)$ and $T_2(x)$ like that for u? And what it would achieve after I've
Subbed in T_1 and T_0?

Two people outside this forums also
Mentioned this:
you should get cn=an/(2-n^2) where an is from the linear combination and cn is from u(x)=Sum(cn*Tn(x)).
then after a bit of algebra i got u(x) = -x^4/14-(3*x^2)/7+x+3/7 which satisfies the original equation.

And

The solution is something like a_0*T_0(x)+a_1*T_1(x) up until T_4(x). and you just need to find the a that satisfy that.
 
Additionally there was a second question attached which asked
What can you say about the solution of
$(1−x^2)u′′ −xu′ +4u=x^4,$
with $u$ again bounded on $[−1, 1]$?

Was this alluding to using a sturm liouville comparison theorem ? What could this be wanting to ask specifically ? I was thinking the frequency of oscillations in the solution butt wasn't sure
 
nacho said:
Hey opalg, just a little curious why you subbed in $T_4(x)$ and $T_2(x)$ like that for u? And what it would achieve after I've
Subbed in T_1 and T_0?
For a function $u(x)$, define $L(u) = (1−x^2)u′′ −xu′ +2u$. You want to find $u$ so that $L(u) = x^4 + x$. Given that the Chebyshev polynomials are eigenfunctions for $L$, with eigenvalues $2-n^2$, it follows that $L(T_n) = (2-n^2)T_n$. If you can find a linear combination $u = a_0T_0 + a_1T_1 + a_2T_2 + a_4T_4$ such that $L(u) = x^4 + x$, then you will have solved the problem. That is the motivation for finding $L(T_n)$ (for $n=0,1,2,4$).

nacho said:
Additionally there was a second question attached which asked
What can you say about the solution of
$(1−x^2)u′′ −xu′ +4u=x^4,$
with $u$ again bounded on $[−1, 1]$?

Was this alluding to using a sturm liouville comparison theorem ? What could this be wanting to ask specifically ? I was thinking the frequency of oscillations in the solution butt wasn't sure
The eigenfunctions for this question are again the Chebyshev polynomials, but the eigenvalues this time are $4-n^2$. The snag with that is that the eigenvalue for $T_2$ will be $0$. Thus $L(T_2) = 0$, so we cannot use $T_2$ to get anything nonzero on the right-hand side of the equation. I guess that this means there will be no bounded solution on $[-1,1].$ But I am not sure how to justify that guess.
 

I think I now see how to do part (b) of this question. It has to do with the fact that the operator $L$ is selfadjoint, where $L$ is defined by $L(u) = (1-x^2)u'' - xu' + 4u$. We want to show that $x^4$ is not in the range of $L$.

The operator $L$ acts on the Hilbert space given by the inner product $$\langle f, g\rangle = \int_{-1}^1f(x)\overline{g(x)}\frac{dx}{\sqrt{1-x^2}}$$ and is selfadjoint in the sense that $\langle L(u),v\rangle = \langle u,L(v)\rangle$ for all functions $u,v$ in its domain.

We know that $L(T_n) = (4-n^2)T_n$ for each Chebyshev polynomial $T_n$. In particular, $L(T_0) = 4$, $L(T_2) = 0$ and $L(T_4) = -12T_4 = -96x^4 + 96x^2 - 12.$ Therefore $L(\frac1{48}T_4 - \frac3{16}T_0) = -2x^4 + 2x^2 - 1 = -2x^4 + T_2(x)$. Now suppose that there exists a function $u$ such that $L(u) = x^4$. Let $v = 2u +\frac1{48}T_4 - \frac3{16}T_0.$ Then $L(v) = T_2$.

The selfadjointness of $L$ then tells us that $\|T_2\|^2 = \|L(v)\|^2 = \langle L(v),L(v) \rangle = \langle v,L^2(v)\rangle$. But $L^2(v) = L(L(v)) = L(T_2) = 0$. It follows that $\|T_2\|=0$ and hence $T_2(x)=0$ (for all $x$ in $[-1,1]$), which is clearly false.

That contradiction shows that there is no function $u$ with $L(u) = x^4$.
 

Attachments

  • Unknown.jpg
    Unknown.jpg
    14.5 KB · Views: 140
Last edited:
Opalg said:
For a function $u(x)$, define $L(u) = (1−x^2)u′′ −xu′ +2u$. You want to find $u$ so that $L(u) = x^4 + x$. Given that the Chebyshev polynomials are eigenfunctions for $L$, with eigenvalues $2-n^2$, it follows that $L(T_n) = (2-n^2)T_n$. If you can find a linear combination $u = a_0T_0 + a_1T_1 + a_2T_2 + a_4T_4$ such that $L(u) = x^4 + x$, then you will have solved the problem. That is the motivation for finding $L(T_n)$ (for $n=0,1,2,4$).

Hey opalg, so what would be the procedure of actually solving for the coefficients such that when subbed in they equal to $x^4 + x$ ?

I realize what I did gave me $x^4 + x$, but did not satisfy the solution for the DE.

After individually subbing in the Chebyshev polynomials as you did for $T_2$ and $T_4$, how does that bring us any closer to solving the problem?


solved!


Opalg said:
I think I now see how to do part (b) of this question. It has to do with the fact that the operator $L$ is selfadjoint, where $L$ is defined by $L(u) = (1-x^2)u'' - xu' + 4u$. We want to show that $x^4$ is not in the range of $L$.

The operator $L$ acts on the Hilbert space given by the inner product $$\langle f, g\rangle = \int_{-1}^1f(x)\overline{g(x)}\frac{dx}{\sqrt{1-x^2}}$$ and is selfadjoint in the sense that $\langle L(u),v\rangle = \langle u,L(v)\rangle$ for all functions $u,v$ in its domain.

We know that $L(T_n) = (4-n^2)T_n$ for each Chebyshev polynomial $T_n$. In particular, $L(T_0) = 4$, $L(T_2) = 0$ and $L(T_4) = -12T_4 = -96x^4 + 96x^2 - 12.$ Therefore $L(\frac1{48}T_4 - \frac3{16}T_0) = -2x^4 + 2x^2 - 1 = -2x^4 + T_2(x)$. Now suppose that there exists a function $u$ such that $L(u) = x^4$. Let $v = 2u +\frac1{48}T_4 - \frac3{16}T_0.$ Then $L(v) = T_2$.

The selfadjointness of $L$ then tells us that $\|T_2\|^2 = \|L(v)\|^2 = \langle L(v),L(v) \rangle = \langle v,L^2(v)\rangle$. But $L^2(v) = L(L(v)) = L(T_2) = 0$. It follows that $\|T_2\|=0$ and hence $T_2(x)=0$ (for all $x$ in $[-1,1]$), which is clearly false.

That contradiction shows that there is no function $u$ with $L(u) = x^4$.
This is genius Opalg!
 
Last edited:

Similar threads

  • · Replies 4 ·
Replies
4
Views
2K
  • · Replies 7 ·
Replies
7
Views
4K
  • · Replies 1 ·
Replies
1
Views
3K
  • · Replies 1 ·
Replies
1
Views
2K
  • · Replies 2 ·
Replies
2
Views
3K
  • · Replies 2 ·
Replies
2
Views
4K
Replies
1
Views
2K
  • · Replies 1 ·
Replies
1
Views
4K
  • · Replies 3 ·
Replies
3
Views
3K
Replies
2
Views
3K