Electric field inside non conducting sphere

Click For Summary

Homework Help Overview

The discussion revolves around calculating the electric field inside a non-conducting sphere, specifically addressing a discrepancy in the expected answer for part b of the problem.

Discussion Character

  • Assumption checking, Problem interpretation

Approaches and Questions Raised

  • Participants are examining unit conversions and the correctness of given values. There are discussions about the interpretation of units, particularly regarding cubic centimeters and cubic meters. Some participants are questioning the accuracy of the book's answer and considering the implications of potential errors in the problem setup.

Discussion Status

There is an ongoing examination of the problem, with some participants suggesting that the book may contain an error. Others are reflecting on their own understanding of unit conversions and the importance of including units in calculations. The discussion is active, with multiple interpretations being explored.

Contextual Notes

Participants note the absence of units in some calculations and the potential for misunderstanding due to unit representation. There is a specific mention of the need for clarity in unit conversions, particularly between centimeters and meters.

Fluxthroughme
Messages
71
Reaction score
0
n4gn0y.jpg


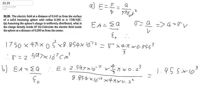
My book tells me the answer to part b is [itex]1.96*10^5[/itex], but I fail to see where I have gone wrong with this?
 
Physics news on Phys.org
There are many units missing, or wrong units. I would guess one cm<->m-conversion went wrong, but it is hard to tell if you do not add units.
 
mfb said:
There are many units missing, or wrong units. I would guess one cm<->m-conversion went wrong, but it is hard to tell if you do not add units.

Fair comment about the units. I don't bother to add them in when I'm doing questions like this until I get something wrong, or if I'm presenting it in, say, an exam. However this clearly wasn't an issue of unit conversion, because there are none. All the given figures are in metres, they stay in metres, and the answer at the end has units of N/m.
 
Oh, I read Cm3 as cm3. Anyway, it should be Cm-3.

I can confirm (b) with a direct approach, it is an error in the book.
 
mfb said:
Oh, I read Cm3 as cm3. Anyway, it should be Cm-3.

I can confirm (b) with a direct approach, it is an error in the book.

I'm terrible with missing minus signs: sorry about that. Thank you for confirming it.
 

Similar threads

Replies
12
Views
2K
Replies
23
Views
5K
  • · Replies 2 ·
Replies
2
Views
2K
Replies
11
Views
2K
  • · Replies 11 ·
Replies
11
Views
2K
  • · Replies 5 ·
Replies
5
Views
2K
  • · Replies 1 ·
Replies
1
Views
2K
  • · Replies 8 ·
Replies
8
Views
3K
Replies
2
Views
3K
Replies
12
Views
3K