Electric potential between two concentric spherical shells

Click For Summary
SUMMARY

This discussion focuses on calculating the electric potential and electric field between two concentric spherical shells with radii R1=0.500 m and R2=1.00 m, carrying uniform charges of q1=2.00 mC and q2=1.00 mC. The key equations used include Vf-Vi=-∫if E·ds and V=-∫if E·ds. The user seeks clarification on the derivation of the potential V at r=0.700 m, specifically how the variable r appears in the denominator of the potential equation derived from the integrals.

PREREQUISITES
  • Understanding of electric fields and potentials in electrostatics
  • Familiarity with integral calculus, particularly in the context of physics
  • Knowledge of Gauss's Law and its application to spherical symmetry
  • Proficiency in using the constants ε0 (permittivity of free space) and the concept of charge distribution
NEXT STEPS
  • Review the derivation of electric potential using Gauss's Law for spherical shells
  • Study the relationship between electric field and electric potential in electrostatics
  • Explore advanced topics in electrostatics, such as potential energy and capacitance
  • Practice solving similar problems involving concentric spherical conductors and their electric fields
USEFUL FOR

Students studying electromagnetism, physics educators, and anyone looking to deepen their understanding of electric fields and potentials in spherical geometries.

AdrianMachin
Messages
40
Reaction score
2

Homework Statement


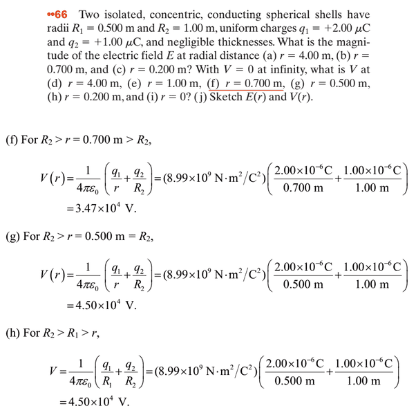
(The complete problem statement and solution are inside the attached picture)
Two isolated, concentric, conducting spherical shells have radii ##R_1=0.500 m## and ##R_2=1.00 m##, uniform charges ##q_1=2.00 mC## and ##q_2=1.00 mC##, and negligible thicknesses. What is the magnitude of the electric field E at radial distance (a) ##r=4.00 m##, (b) ##r=0.700 m##, and (c) ##r= 0.200 m##? With ##V=0## at infinity, what is V at (d) ##r=4.00 m##, (e) ##r=1.00 m##, (f) ##r=0.700 m##, (g) ##r=0.500 m##,(h) ##r=0.200 m##, and (i) ##r=0##? (j) Sketch ##E(r)## and ##V(r)##.

Homework Equations


$$V_f-V_i=-\int_i^f \vec E \cdot d\vec s\,$$
or
$$V=-\int_i^f \vec E \cdot d\vec s\,$$

The Attempt at a Solution


For part (f) and using the results of the previous parts of the problem:
$$V(r)=-\int_{\infty}^{R_2} {E_1}(r) \,dr -\int_{R_2}^r {E_2}(r) \,dr=\frac {q_1 + q_2} {4 \pi \epsilon_0 r}+ \frac {q_1} {4 \pi \epsilon_0 r} - \frac {q_1} {4 \pi \epsilon_0 R_2}$$

And it simplifies to:
$$= \frac {1} {4 \pi \epsilon_0} (\frac {2q_1 + q_2} {r} - \frac {q_1} {R_2})$$
Which is different than what's in the problem's official solution.
Would someone please help me with this?
 

Attachments

  • problem&solution.png
    problem&solution.png
    36.2 KB · Views: 1,567
Physics news on Phys.org
AdrianMachin said:
For part (f) and using the results of the previous parts of the problem:
$$V(r)=-\int_{\infty}^{R_2} {E_1}(r) \,dr -\int_{R_2}^r {E_2}(r) \,dr=\frac {q_1 + q_2} {4 \pi \epsilon_0 r}+ \frac {q_1} {4 \pi \epsilon_0 r} - \frac {q_1} {4 \pi \epsilon_0 R_2}$$
For the first term on the far right side, how do you get ##r## to appear in the denominator? Does this term come from the first integral? Note that this integral does not contain ##r## in the limits of integration.
 
  • Like
Likes   Reactions: AdrianMachin

Similar threads

Replies
4
Views
2K
  • · Replies 23 ·
Replies
23
Views
2K
  • · Replies 4 ·
Replies
4
Views
1K
  • · Replies 1 ·
Replies
1
Views
4K
  • · Replies 3 ·
Replies
3
Views
2K
  • · Replies 3 ·
Replies
3
Views
3K
  • · Replies 5 ·
Replies
5
Views
844
  • · Replies 4 ·
Replies
4
Views
2K
Replies
44
Views
5K
Replies
11
Views
2K