Electrodynamics: Vector Calculus Question

Click For Summary

Homework Help Overview

The discussion revolves around vector calculus concepts, specifically the operations involving the Del operator in the context of electrodynamics. Participants are examining the distinction between the gradient of divergence and the Laplacian, as well as the implications of these operations on vectors and scalars.

Discussion Character

  • Conceptual clarification, Mathematical reasoning

Approaches and Questions Raised

  • Participants explore why the Del operators do not combine to yield a net result of zero, questioning the nature of the operations involved. There is an emphasis on understanding the difference between vector and scalar outcomes of these operations.

Discussion Status

The conversation includes attempts to clarify the mathematical definitions and properties of the Del operator, with some participants providing examples and asking for further references to support their points. Multiple interpretations of the operations are being discussed, indicating a productive exploration of the topic.

Contextual Notes

Some participants express confusion regarding the distinctions between the operations, suggesting that additional resources or references may be necessary to fully grasp the concepts being discussed.

majormuss
Messages
124
Reaction score
4
Homework Statement
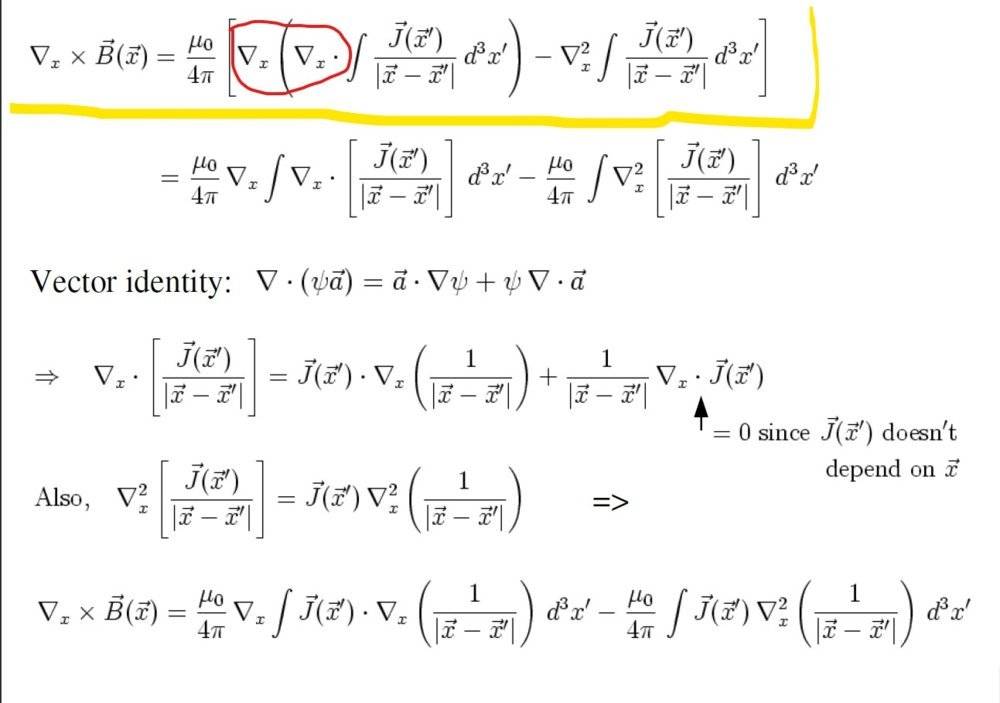
Please see attached screenshot. Why are the red circled Del operators not combining to give a net result of 0?
Relevant Equations
Vector Calculus
Why are the red circled Del operators not combining to become 'Del-squared' to cancel out the second term to give a net result of 0?
 

Attachments

  • Question.jpg
    Question.jpg
    47.4 KB · Views: 557
Physics news on Phys.org
Because $$\nabla(\nabla. ) \neq (\nabla.\nabla = \nabla^2) $$

Alternatively,the red circled termed is vector whereas ##\nabla^2 ## is scalar called Laplacian.

This thing you can find in almost all Basic Vector Calculus books.
 
  • Like
Likes   Reactions: Delta2, JD_PM, majormuss and 1 other person
Abhishek11235 said:
Because $$\nabla(\nabla. ) \neq (\nabla.\nabla = \nabla^2) $$

Alternatively,the red circled termed is vector whereas ##\nabla^2 ## is scalar called Laplacian.

This thing you can find in almost all Basic Vector Calculus books.
Thanks!
 
$$\nabla(\nabla \cdot \vec v)$$
Is the OP pointing at the gradient of the divergence operation?
 
JD_PM said:
$$\nabla(\nabla \cdot \vec v)$$
Is the OP pointing at the gradient of the divergence operation?
yea. Sorry, I only just saw this.
 
  • Informative
Likes   Reactions: JD_PM
Abhishek11235 said:
Because $$\nabla(\nabla. ) \neq (\nabla.\nabla = \nabla^2) $$

Alternatively,the red circled termed is vector whereas ##\nabla^2 ## is scalar called Laplacian.

This thing you can find in almost all Basic Vector Calculus books.
Could you please cite a page number or section from an online page where that distinction is fully explained? I thought I understood it what you meant but I am still getting tripped up.
 
There is a basic difference between the two, one operates on a vector and the result is a vector,
$$\vec \nabla(\vec \nabla \cdot \vec A)=\left(\frac {\partial}{\partial x} ~\hat x+\frac {\partial}{\partial y} ~\hat y+\frac {\partial}{\partial z} ~\hat z \right )\left(\frac {\partial A_x}{\partial x} +\frac {\partial A_y}{\partial y}+\frac {\partial A_z}{\partial z} \right ).$$The other operates on a scalar and the result is a scalar,
$$\vec \nabla \cdot \vec \nabla \varphi =\left(\frac {\partial ^2}{\partial x^2} +\frac {\partial ^2}{\partial y^2}+\frac {\partial ^2}{\partial z^2} \right )\varphi.$$
 
  • Like
Likes   Reactions: majormuss, Abhishek11235, JD_PM and 1 other person
kuruman said:
There is a basic difference between the two, one operates on a vector and the result is a vector,
$$\vec \nabla(\vec \nabla \cdot \vec A)=\left(\frac {\partial}{\partial x} ~\hat x+\frac {\partial}{\partial y} ~\hat y+\frac {\partial}{\partial z} ~\hat z \right )\left(\frac {\partial A_x}{\partial x} +\frac {\partial A_y}{\partial y}+\frac {\partial A_z}{\partial z} \right ).$$The other operates on a scalar and the result is a scalar,
$$\vec \nabla \cdot \vec \nabla \varphi =\left(\frac {\partial ^2}{\partial x^2} +\frac {\partial ^2}{\partial y^2}+\frac {\partial ^2}{\partial z^2} \right )\varphi.$$

To add to this. In the attached example, ##\nabla^2## is actually acting on a vector. In this case, by definition:
$$\nabla^2 \varphi = \vec \nabla \cdot \vec \nabla \varphi =\left(\frac {\partial ^2}{\partial x^2} +\frac {\partial ^2}{\partial y^2}+\frac {\partial ^2}{\partial z^2} \right )\varphi.$$
And, also by definition:
$$\nabla^2 \vec{A} = (\nabla^2 A_x) \hat{x} + (\nabla^2 A_y) \hat{y} + (\nabla^2 A_z) \hat{z}\ne \vec \nabla(\vec \nabla \cdot \vec A)$$
 
  • Like
Likes   Reactions: majormuss, kuruman, Abhishek11235 and 1 other person
PeroK said:
To add to this. In the attached example, ##\nabla^2## is actually acting on a vector. In this case, by definition:
$$\nabla^2 \varphi = \vec \nabla \cdot \vec \nabla \varphi =\left(\frac {\partial ^2}{\partial x^2} +\frac {\partial ^2}{\partial y^2}+\frac {\partial ^2}{\partial z^2} \right )\varphi.$$
And, also by definition:
$$\nabla^2 \vec{A} = (\nabla^2 A_x) \hat{x} + (\nabla^2 A_y) \hat{y} + (\nabla^2 A_z) \hat{z}\ne \vec \nabla(\vec \nabla \cdot \vec A)$$
And the distinction between the two is illustrated by the vector calculus identity
$$\vec \nabla \times (\vec \nabla \times \vec A)=\vec \nabla(\vec \nabla \cdot \vec A)-\nabla^2 \vec A.$$
 
  • Like
Likes   Reactions: Abhishek11235 and PeroK

Similar threads

  • · Replies 3 ·
Replies
3
Views
4K
  • · Replies 26 ·
Replies
26
Views
7K
  • · Replies 9 ·
Replies
9
Views
3K
Replies
1
Views
3K
  • · Replies 5 ·
Replies
5
Views
3K
  • · Replies 9 ·
Replies
9
Views
1K
  • · Replies 3 ·
Replies
3
Views
3K
  • · Replies 2 ·
Replies
2
Views
2K
  • · Replies 5 ·
Replies
5
Views
2K
  • · Replies 50 ·
2
Replies
50
Views
6K