Equations for three inductors connected together

Click For Summary

Discussion Overview

The discussion revolves around deriving state equations for a system of three inductors connected at a common point, with each inductor's unconnected end linked to an independent voltage source. Participants explore how to eliminate an intermediary variable, VT, from the equations governing the dynamics of the currents, aiming to express the system in state space form.

Discussion Character

  • Technical explanation
  • Mathematical reasoning
  • Debate/contested

Main Points Raised

  • One participant seeks to eliminate the variable VT from the equations and expresses a desire to write the state equations in a specific format.
  • Another participant suggests that the removal of VT has been achieved, but questions whether the initial question was fully understood.
  • A participant points out that an additional equation is necessary, referencing Kirchhoff's Current Law, which states that the current through one inductor equals the sum of the currents through the other two inductors.
  • Further clarification is provided by a participant who reflects on their understanding of the problem, indicating that they initially misunderstood their own question but later confirmed that they could express I1 in terms of I2 and I3.
  • One participant expresses satisfaction after integrating Kirchhoff's Law into their solution, suggesting progress in the discussion.

Areas of Agreement / Disagreement

Participants do not reach a consensus on the completeness of the equations, as there are differing views on whether all necessary equations have been accounted for. The discussion includes both agreement on the application of Kirchhoff's Law and uncertainty regarding the implications of eliminating VT and expressing I1 in terms of I2 and I3.

Contextual Notes

There are limitations regarding the clarity of the initial problem statement and the assumptions made about the system's configuration. The discussion reflects a progression of understanding among participants, with some uncertainty about the implications of their mathematical manipulations.

anon6912
Messages
21
Reaction score
3
I have a system with three inductors connected together at a common point.
The unconnected ends of each inductor is connected to an independent voltage source.

Basically I want to get three expressions for the dynamics of the currents with V1, V2 and V3 as inputs.
i.e. i need to eliminate the intermediary variable VT.

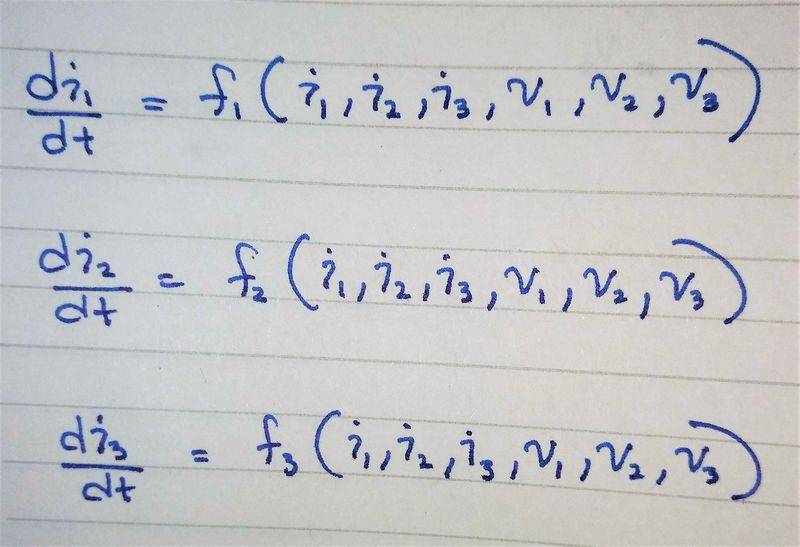
I want to write the state equations for the system in the following format (state space form):
dSvnAJf.jpg


The system and, how far i got is below:
tQ4QVt2.jpg


I don't know how to proceed from here.
Or is it impossible to get it into the format I want?
 

Attachments

  • dSvnAJf.jpg
    dSvnAJf.jpg
    46.1 KB · Views: 620
  • tQ4QVt2.jpg
    tQ4QVt2.jpg
    24.2 KB · Views: 559
Engineering news on Phys.org
anon6912 said:
i.e. i need to eliminate the intermediary variable VT.

anon6912 said:
The system and, how far i got is below:
tq4qvt2-jpg.jpg

Here you removed ##V_{T}## from all the equations. You have di/dt (for 1, 2 and 3) in terms of V1,V2... etc without ##VT##.

Maybe I didn't understand your question correctly.
 

Attachments

  • tq4qvt2-jpg.jpg
    tq4qvt2-jpg.jpg
    24.2 KB · Views: 541
You are missing an equation. Using the sign conventions from your drawing, i1=i2+i3. That is Kirchoff's Current Law.
 
  • Like
Likes   Reactions: Fisherman199
Phylosopher said:
Here you removed ##V_{T}## from all the equations. You have di/dt (for 1, 2 and 3) in terms of V1,V2... etc without ##VT##.

Maybe I didn't understand your question correctly.

At the time I was asking this question I don't think I had grasped the question correctly even myself.

What I initially wanted was to eliminate V_T.
But as a consequence of doing this I found out I had to/ could write I_1 in terms of I2 and I3.
I wasn't sure if this second part of replacing I1 with !2 and I3 was correct because I felt like it would eliminate a state from the system if I did that.
But I think it is correct and can be done.

So now I have a system with VT eliminated and the equations written in terms of V1 V2 V3 and I1 and I2 :)
 
  • Like
Likes   Reactions: Phylosopher
anorlunda said:
You are missing an equation. Using the sign conventions from your drawing, i1=i2+i3. That is Kirchoff's Current Law.
Thanks. I ended up integrating kirchhoff law and it worked :)
 

Similar threads

  • · Replies 4 ·
Replies
4
Views
2K
Replies
9
Views
3K
  • · Replies 1 ·
Replies
1
Views
2K
Replies
2
Views
2K
Replies
8
Views
4K
Replies
4
Views
3K
  • · Replies 3 ·
Replies
3
Views
3K
Replies
2
Views
2K
  • · Replies 12 ·
Replies
12
Views
2K
  • · Replies 1 ·
Replies
1
Views
3K