Exact Expression for Sine of 1 Degree

  • Context: Undergrad 
  • Thread starter Thread starter bob012345
  • Start date Start date
  • Tags Tags
    Degree Expression Sine
Click For Summary

Discussion Overview

The discussion revolves around finding an exact expression for the sine of 1 degree, exploring various mathematical approaches, including cubic equations, Taylor approximations, and the implications of constructibility in geometry. Participants engage with both theoretical and practical aspects of the problem.

Discussion Character

  • Exploratory
  • Technical explanation
  • Debate/contested
  • Mathematical reasoning

Main Points Raised

  • Some participants reference the triple angle formula, suggesting that knowing ##\sin(3^\circ)## allows for the formulation of a cubic equation involving ##\sin(1^\circ##.
  • There is a discussion about the complexity of solving cubic equations, with some expressing skepticism about obtaining a simple expression for ##\sin(1^\circ##.
  • One participant proposes using Taylor approximation for small angles, noting the accuracy of the approximation but acknowledging it does not yield an exact expression.
  • Concerns are raised about the possibility of expressing ##\sin(1^\circ## in a straightforward closed form, with some suggesting that it may only be expressible using complex numbers.
  • Another participant discusses the implications of constructibility, stating that a closed form solution involving only real numbers may not exist due to the non-constructibility of a regular 180-gon.
  • Some participants challenge each other's claims regarding the existence of real roots and the nature of the solutions to the cubic equations.
  • References to external resources and mathematical literature are provided to support various claims and insights.

Areas of Agreement / Disagreement

Participants express differing views on the feasibility of finding an exact expression for ##\sin(1^\circ##, with some believing it can be done using radicals, while others argue that it cannot be expressed without involving complex numbers. The discussion remains unresolved with multiple competing perspectives.

Contextual Notes

Participants note that the complexity of the cubic equations may lead to solutions that involve sines and cosines of other angles, and there is uncertainty about the implications of constructibility on the existence of a real solution.

  • #31
.Scott said:
https://www.wolframalpha.com/input/?i=sin(pi/10)
S10=sin(π/10)=1/4(5−1)

S20=sin(π/20)=(1−1−S102)/2

Which gets you to sine of 9 degrees.
But then you would need to apply the one-third angle formula twice - and that involves complex roots.

https://www.quora.com/What-is-the-formula-for-sin-x-3-one-third-angle-formula
S60=sin(π/60)=((−S20+S202−1)1/3+(−S20−S202−1)1/3)/2
S180=sin(π/180)=((−S60+S602−1)1/3+(−S60−S602−1)1/3)/2

The Sine of ##3°## is known in closed form but when put in the third angle formula and solving the cubic, you get back to cube roots of complex numbers. I know how to solve that but it's too massive to typeset.

I found this work that shows how ugly the expressions are for those angles not multiples of ##3°## and they all involve cube roots of complex numbers.

https://www.intmath.com/blog/wp-content/images/2011/06/exact-values-sin-degrees.pdf
 
Mathematics news on Phys.org
  • #32
bob012345 said:
The Sine of ##3°## is known in closed form but when put in the third angle formula and solving the cubic, you get back to cube roots of complex numbers. I know how to solve that but it's too massive to typeset.

I found this work that shows how ugly the expressions are for those angles not multiples of ##3°## and they all involve cube roots of complex numbers.

https://www.intmath.com/blog/wp-content/images/2011/06/exact-values-sin-degrees.pdf
If what you say is true, there are two closed formula ways of getting ##sin(3°)##, one using the third angle formula (described in my post above), one that avoids roots of a complex number (as described by you). That suggests (strongly suggests) that there may be a method of performing the third angle formula without taking the root of a complex number. If that is the case, then there is a solution.

Clearly it would be ugly - but not so ugly if it was expressed as a progressive series of equations - as with the series that I presented. Values are commonly expressed as a combination of operations such as add, subtract, divide, square root. Expressing a value as a series of operations just means that you are expanding your available operations before providing the final formula. It's equivalent to ##S_180 = f_a(f_b(f_c(f_d(f_e()))))##. A great way to keep the ugliness down.
 
  • #33
(edited in response to comment from @bob012345)
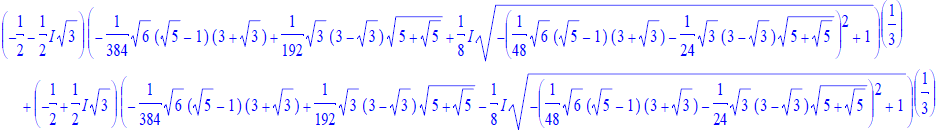
from this page (intmath.com), a solution that include the cube roots of complex numbers:
sine-1-degree.png

A comprehensive list is available here: Exact value from sine 1° to sine 90°
 
Last edited:
  • #34
.Scott said:
Yes, but my view is that this is not really the solution I sought. There is one real root which must be the Sine of 1° but expressing it in a closed form without roots of complex numbers or Sines and Cosines of other angles which was the original intent of the post, is not possible
 
  • Like
Likes   Reactions: .Scott
  • #35
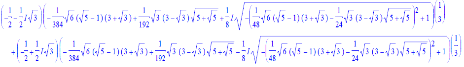
.Scott said:
(edited in response to comment from @bob012345)
from this page (intmath.com), a solution that include the cube roots of complex numbers:
View attachment 269775
A comprehensive list is available here: Exact value from sine 1° to sine 90°
I tried evaluating the simpler case of Sin(20°) and after a boatload of computation I got this as one of 9 possibilities;

$$Sin(20°)= \frac 1 2( (Cos(10°) - \sqrt 3 Sin(10°))$$

Alternativly, I also got;

$$Sin(20°)= -\frac 1 2 ((Cos(50°) - \sqrt 3 Sin(50°))$$

Which I could have arrived at much easier by just using the identities;

$$Sin(a ± b) = Sin(a)Cos(b) ± Cos(a)Sin(b)$$

Essentially, evaluating these cubic roots of complex numbers either gives more cubic roots of complex numbers or if you use De Moivre's theorem you end up deriving several trigonometric identities. At least that is my experience.
 
Last edited:

Similar threads

  • · Replies 41 ·
2
Replies
41
Views
6K
  • · Replies 2 ·
Replies
2
Views
2K
Replies
5
Views
1K
  • · Replies 3 ·
Replies
3
Views
2K
  • · Replies 1 ·
Replies
1
Views
2K
  • · Replies 1 ·
Replies
1
Views
3K
  • · Replies 1 ·
Replies
1
Views
8K
  • · Replies 4 ·
Replies
4
Views
2K
  • · Replies 16 ·
Replies
16
Views
2K
  • · Replies 5 ·
Replies
5
Views
2K