Express this sum as a fraction of whole numbers

Click For Summary

Homework Help Overview

The problem involves expressing a sum of fractions in lowest terms, specifically the series ##\frac{1}{1⋅2}+\frac{1}{2⋅3}+\frac{1}{3⋅4}+...+\frac{1}{n(n+1)}##. The subject area relates to partial fraction decomposition and series summation.

Discussion Character

  • Exploratory, Conceptual clarification, Mathematical reasoning, Problem interpretation

Approaches and Questions Raised

  • Participants discuss the potential use of partial fraction decomposition for each term in the series. Some suggest that this could lead to a telescoping series, while others express uncertainty about the inductive proof process and the terminology involved.

Discussion Status

There are multiple hints and suggestions regarding the application of partial fraction decomposition. Some participants are exploring the implications of assuming the result for n terms to prove it for n+1 terms. The discussion reflects a mix of confusion and attempts to clarify the reasoning behind the problem.

Contextual Notes

Participants note the challenge of understanding the proof by induction and the specific terminology used, indicating a need for further clarification on these concepts. There is also mention of the potential for a simpler method to solve the problem.

opus
Gold Member
Messages
717
Reaction score
131

Homework Statement


Express the sum as a fraction of whole numbers in lowest terms:

##\frac{1}{1⋅2}+\frac{1}{2⋅3}+\frac{1}{3⋅4}+...+\frac{1}{n(n+1)}##

Homework Equations

The Attempt at a Solution


Please see attached image for my work. The reason I am posting the image rather than typing this out is because I don't really have a reason, but I do have the solution and the picture shows how I came to the solution. Basically what I did was to see any kind of general pattern to get a general idea of what the solution was, then try to develop mathematical reasoning that backed up what I found as the potential solution.

As you can see, my conclusion was that the solution is ##\frac{n}{n+1}##, which is verified by the back of the book. However, I don't like the way that I got the solution. This particular question was in a chapter of partial fraction decomposition, so I believe that a more thorough argument could be made by using that, but I don't see how. Any ideas?
 

Attachments

  • Screen Shot 2018-12-24 at 3.56.24 PM.png
    Screen Shot 2018-12-24 at 3.56.24 PM.png
    26.7 KB · Views: 469
Physics news on Phys.org
Here is a hint: What happens if you apply fractional decomposition to each term in the series?
 
  • Like
Likes   Reactions: ehild and opus
That is a good way to guess at the solution, and it will be essential for an inductive proof. Assume that you have established it for n and write down the summation for n+1 using ##n/(n+1)## for all but the last term. Then simplify that to get your desired result of ##(n+1)/(n+2)##. That would complete the proof.
 
  • Like
Likes   Reactions: opus
Geofleur said:
Here is a hint: What happens if you apply fractional decomposition to each term in the series?
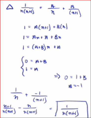
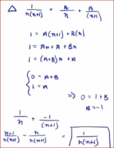
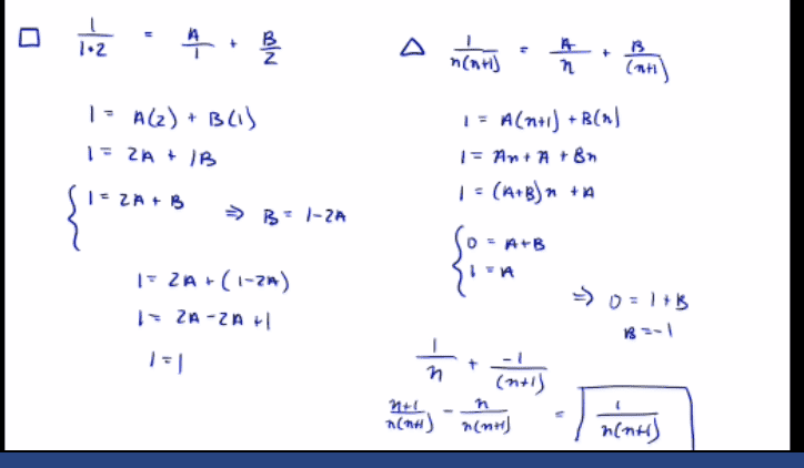
For the work listed under the square on the bottom left, I just got a true statement. I am kind of thrown off by the lack of variables here.
So in doing the work on the right as listed under the triangle, I decomposed ##\frac{1}{n(n+1)}## into ##\frac{n+1}{n(n+1)}-\frac{n}{n(n+1)}##
Something has gone amiss or I'm not seeing something right in front of my face.
 

Attachments

  • Screen Shot 2018-12-24 at 7.22.44 PM.png
    Screen Shot 2018-12-24 at 7.22.44 PM.png
    17.8 KB · Views: 442
FactChecker said:
That is a good way to guess at the solution, and it will be essential for an inductive proof. Assume that you have established it for n and write down the summation for n+1 using ##n/(n+1)## for all but the last term. Then simplify that to get your desired result of ##(n+1)/(n+2)##. That would complete the proof.
By "establishing it for n" does that mean find a single case rather than the entire summation?
 
I meant to assume that it has been established for n. In an inductive proof, one proves it for n=1 and assumes that it is true for n and then uses that to prove it is true for n+1. That proves it for all n like dominos.
 
  • Like
Likes   Reactions: opus
FactChecker said:
I meant to assume that it has been established for n. In an inductive proof, one proves it for n=1 and assumes that it is true for n and then uses that to prove it is true for n+1. That proves it for all n like dominos.
Yeah I saw that you said assume in the first post, but I am a little shakey about the "n and n+1" lingo. I've never done any proofs like this of any sort, so the ideas or nomenclature is a bit above me. For example, when we say "n" are we talking about any term generally here? The first term? Probably a dumb question, so is there maybe a video or text you can reference me to so that I can get caught up a bit so I can offer an appropriate dialogue?
 
EDIT: I see that @Geofleur has a much simpler method, which is the expected solution.

Sorry. This may not be what your teacher had in mind for you to do. It is called "Proof by Induction."
'n' is the number of terms in the entire sum. It is not just one term. You have already proven the result for a summation with only one term: ##\frac {1}{1*2} = \frac {1}{2}##. Now suppose that you assume you have proven it for a summation of n terms and can prove it for n+1 terms. Then your n=1 term case establishes it for n+1=2 terms: ##\frac {1}{1*2} + \frac {1}{2*3} = \frac {2}{3}##. And that establishes it for n=3 terms. And that establishes it for n=4 terms. ... So it is proven for any summation of n terms from n=1 to ##\infty##
 
Last edited:
  • Like
Likes   Reactions: opus
Once you have decomposed ##\frac{1}{n(n+1)}## as ##\frac{1}{n}-\frac{1}{n+1}## (which I see you did in your notes), then you can use that formula on specific instances of ## n ##. For example, now you can write ## \frac{1}{2\cdot 3}=\frac{1}{2}-\frac{1}{3}##. Now do this for every term in the series and see what happens.
 
  • Like
Likes   Reactions: opus, SammyS and FactChecker
  • #10
opus said:
For the work listed under the square on the bottom left, I just got a true statement. I am kind of thrown off by the lack of variables here.
So in doing the work on the right as listed under the triangle, I decomposed ##\frac{1}{n(n+1)}## into ##\frac{n+1}{n(n+1)}-\frac{n}{n(n+1)}##
Something has gone amiss or I'm not seeing something right in front of my face.
upload_2018-12-25_10-32-4.png

The above image shows your decomposition of ##\displaystyle \ \frac{1}{n(n+1)} \,.\ ## Rather than writing the decomposition as ##\displaystyle \ \frac{n+1}{n(n+1)} -\frac{n}{n(n+1)} \,,\ ## write it as ##\displaystyle \ \frac{1}{n} -\frac{1}{n+1} \,.\ ##

Notice that each term in the sum (as it's given in the Original Post) has the form ##\displaystyle \ \frac{1}{k(k+1)} \,.\ ## It's to best to write the general term using some variable other than ##\ n \,, \ ## because ##\ n\ ## refers to the number of terms in the sum.

So, for instance, for the third term, set ##\ k=3\ ## and you get ##\displaystyle \ \frac{1}{(3)(4)} \,,\ ## which decomposes into ##\displaystyle \ \frac{1}{3} -\frac{1}{4} \,.\ ## The fourth term, ##\ k=4\,,\ ## is ##\displaystyle \ \frac{1}{(4)(5)} \,,\ ## which decomposes into ##\displaystyle \ \frac{1}{4} -\frac{1}{5} \,.\ ## Etc.

As you (hopefully) can see, a lot of terms cancel when you take advantage of the partial fraction decomposition.

Although the given problem can be solved using induction, partial fraction decomposition gives a nice tidy result and goes along with the material being covered in your book.

Added in Edit:
I started composing this post several hours ago. In the meantime, I see that @Geofleur has given much the same advice.

Additional remark: A sum which can be made to "collapse" liken this one does under partial fraction decomposition, is called a "telescoping" sum or "telescoping" series.​
 

Attachments

  • upload_2018-12-25_10-32-4.png
    upload_2018-12-25_10-32-4.png
    18.4 KB · Views: 944
Last edited:
  • Like
Likes   Reactions: opus
  • #11
FactChecker said:
EDIT: I see that @Geofleur has a much simpler method, which is the expected solution.

Sorry. This may not be what your teacher had in mind for you to do. It is called "Proof by Induction."
'n' is the number of terms in the entire sum. It is not just one term. You have already proven the result for a summation with only one term: ##\frac {1}{1*2} = \frac {1}{2}##. Now suppose that you assume you have proven it for a summation of n terms and can prove it for n+1 terms. Then your n=1 term case establishes it for n+1=2 terms: ##\frac {1}{1*2} + \frac {1}{2*3} = \frac {2}{3}##. And that establishes it for n=3 terms. And that establishes it for n=4 terms. ... So it is proven for any summation of n terms from n=1 to ##\infty##
Now I see what you mean of being like dominos!

Geofleur said:
Once you have decomposed ##\frac{1}{n(n+1)}## as ##\frac{1}{n}-\frac{1}{n+1}## (which I see you did in your notes), then you can use that formula on specific instances of ## n ##. For example, now you can write ## \frac{1}{2\cdot 3}=\frac{1}{2}-\frac{1}{3}##. Now do this for every term in the series and see what happens.
It appears that every term except for the first and last cancel! I think I may be close, but the first term is giving me gruff.
 

Attachments

  • Screen Shot 2018-12-27 at 7.25.02 PM.png
    Screen Shot 2018-12-27 at 7.25.02 PM.png
    21.2 KB · Views: 414
  • Like
Likes   Reactions: FactChecker
  • #12
SammyS said:
View attachment 236348
The above image shows your decomposition of ##\displaystyle \ \frac{1}{n(n+1)} \,.\ ## Rather than writing the decomposition as ##\displaystyle \ \frac{n+1}{n(n+1)} -\frac{n}{n(n+1)} \,,\ ## write it as ##\displaystyle \ \frac{1}{n} -\frac{1}{n+1} \,.\ ##

Notice that each term in the sum (as it's given in the Original Post) has the form ##\displaystyle \ \frac{1}{k(k+1)} \,.\ ## It's to best to write the general term using some variable other than ##\ n \,, \ ## because ##\ n\ ## refers to the number of terms in the sum.

So, for instance, for the third term, set ##\ k=3\ ## and you get ##\displaystyle \ \frac{1}{(3)(4)} \,,\ ## which decomposes into ##\displaystyle \ \frac{1}{3} -\frac{1}{4} \,.\ ## The fourth term, ##\ k=4\,,\ ## is ##\displaystyle \ \frac{1}{(4)(5)} \,,\ ## which decomposes into ##\displaystyle \ \frac{1}{4} -\frac{1}{5} \,.\ ## Etc.

As you (hopefully) can see, a lot of terms cancel when you take advantage of the partial fraction decomposition.

Although the given problem can be solved using induction, partial fraction decomposition gives a nice tidy result and goes along with the material being covered in your book.

Added in Edit:
I started composing this post several hours ago. In the meantime, I see that @Geofleur has given much the same advice.

Additional remark: A sum which can be made to "collapse" liken this one does under partial fraction decomposition, is called a "telescoping" sum or "telescoping" series.​
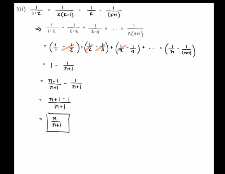
Keeping ##n## and ##k## separate is actually very helpful for me. I'm going to rewrite this like that. If you refer to my last post, I noticed that all terms except the first and last cancel (a "telescoping sum" as you put it). The the very last term seems to fall in line with what I have so far, but the first term is throwing me off a bit.
 
  • #13
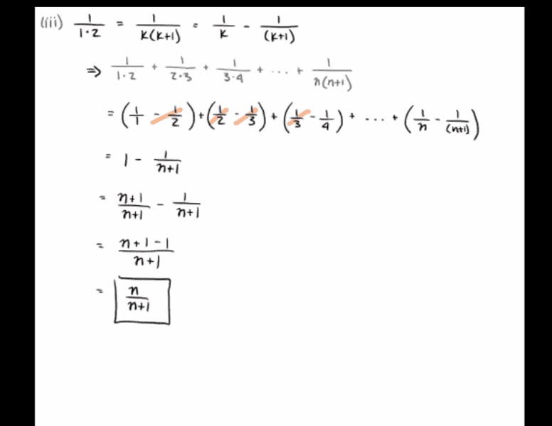
I actually think I got it!
 

Attachments

  • Screen Shot 2018-12-27 at 7.46.11 PM.png
    Screen Shot 2018-12-27 at 7.46.11 PM.png
    34.5 KB · Views: 381
  • Screen Shot 2018-12-27 at 7.46.18 PM.png
    Screen Shot 2018-12-27 at 7.46.18 PM.png
    10 KB · Views: 422
  • #14
opus said:
I actually think I got it!
Yes.

The first term is 1, not 1/n .

Added in Edit: Oh my!
I didn't realize that I had included all the sigma notion (now found below). I had used the input window as a sort of sandbox yesterday, but forgot about it. It worked out pretty well to have it show up here.​

## \displaystyle \ \frac{1}{k(k+1)} \,.\ ##

## \displaystyle \ \sum_{k=1}^n \frac{1}{k(k+1)} \,.\ ##

## \displaystyle \ \sum_{k=1}^n \left( \frac{1}{k}-\frac{1}{k+1} \right)\,.\ ##

## \displaystyle \ \sum_{k=1}^n \frac{1}{k} \ - \sum_{k=1}^n \frac{1}{k+1}\,.\ ##

## \displaystyle \ \sum_{k=1}^n \frac{1}{k} \ - \sum_{j=2}^{n+1} \frac{1}{j}\,.\ ##

## \displaystyle \ \frac 1 1 + \sum_{k=2}^n \frac{1}{k} \ - \left(\frac{1}{n+1}+ \sum_{j=2}^{n} \frac{1}{j} \right)\,.\ ##
 
Last edited:
  • Like
Likes   Reactions: opus
  • #15
SammyS said:
## \displaystyle \ \frac{1}{k(k+1)} \,.\ ##

## \displaystyle \ \sum_{k=1}^n \frac{1}{k(k+1)} \,.\ ##

## \displaystyle \ \sum_{k=1}^n \left( \frac{1}{k}-\frac{1}{k+1} \right)\,.\ ##

## \displaystyle \ \sum_{k=1}^n \frac{1}{k} \ - \sum_{k=1}^n \frac{1}{k+1}\,.\ ##

## \displaystyle \ \sum_{k=1}^n \frac{1}{k} \ - \sum_{j=2}^{n+1} \frac{1}{j}\,.\ ##

## \displaystyle \ \frac 1 1 + \sum_{k=2}^n \frac{1}{k} \ - \left(\frac{1}{n+1}+ \sum_{j=2}^{n} \frac{1}{j} \right)\,.\ ##

Yes.

The first term is 1, not 1/n .
I like that sigma notation. Only time I've used it is for Riemann sums. Very cool. Thanks!
 

Similar threads

  • · Replies 5 ·
Replies
5
Views
1K
  • · Replies 3 ·
Replies
3
Views
2K
  • · Replies 4 ·
Replies
4
Views
2K
Replies
5
Views
2K
  • · Replies 3 ·
Replies
3
Views
2K
  • · Replies 8 ·
Replies
8
Views
2K
  • · Replies 10 ·
Replies
10
Views
3K
  • · Replies 4 ·
Replies
4
Views
2K
  • · Replies 34 ·
2
Replies
34
Views
8K
  • · Replies 11 ·
Replies
11
Views
4K