Partial Fraction Decomposition

Click For Summary

Homework Help Overview

The problem involves finding the partial fraction decomposition of the expression \(\frac{1}{(x^2-1)^2}\), which falls under the subject area of algebra and rational functions.

Discussion Character

  • Exploratory, Mathematical reasoning, Assumption checking

Approaches and Questions Raised

  • The original poster attempts to solve for constants A and C but encounters a true statement at the end of their process. Some participants suggest revisiting the simultaneous equations used to find these constants, indicating a potential issue with the chosen equations.

Discussion Status

The discussion is ongoing, with participants exploring different approaches to solving the simultaneous equations. Guidance has been offered regarding the selection of equations to ensure they provide useful information about the constants involved.

Contextual Notes

There is mention of attached images that illustrate the original poster's thought process, which may contain additional context or details relevant to the problem.

opus
Gold Member
Messages
717
Reaction score
131

Homework Statement


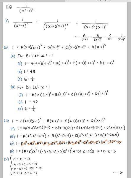
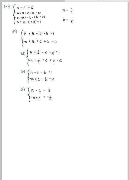
Find the partial fraction decomposition for:

##\frac{1}{\left(x^2-1\right)^2}##

Homework Equations

The Attempt at a Solution


Please see my attached images. I think the image shows my thought process better and it would take me well over an hour to type all that out!

Im stuck at the very end, where it results in a true statement, yet I'm trying to get values for A and C (Step iv-c)
 
  • Like
Likes   Reactions: Delta2
Physics news on Phys.org
Please see attached. The second image is Page 1.
 

Attachments

  • 0958D8E0-A450-4049-88FD-4F08FBA8B3E5.jpeg
    0958D8E0-A450-4049-88FD-4F08FBA8B3E5.jpeg
    11.2 KB · Views: 460
  • EDF5BF1D-73D9-46AF-8129-6A82AAC8CCDA.jpeg
    EDF5BF1D-73D9-46AF-8129-6A82AAC8CCDA.jpeg
    32 KB · Views: 479
Try solving the simultaneous equations
## -A - 2B - C + 2D = 0##
## A + B - C + D = 1 ##
instead of the two you choose.

If you add the two equations you choose, you can see that ##A## and ##C## are eliminated from the result, which suggests the two you selected don't provide information about the individual values of ##A## and ##C##.
 
  • Like
Likes   Reactions: Delta2 and opus
Great thank you!
 
  • Like
Likes   Reactions: Delta2

Similar threads

  • · Replies 14 ·
Replies
14
Views
3K
  • · Replies 4 ·
Replies
4
Views
2K
  • · Replies 10 ·
Replies
10
Views
3K
  • · Replies 3 ·
Replies
3
Views
3K
  • · Replies 14 ·
Replies
14
Views
3K
  • · Replies 2 ·
Replies
2
Views
13K
  • · Replies 6 ·
Replies
6
Views
2K
  • · Replies 4 ·
Replies
4
Views
2K
  • · Replies 8 ·
Replies
8
Views
2K
  • · Replies 4 ·
Replies
4
Views
4K