opus
Gold Member
- 717
- 131
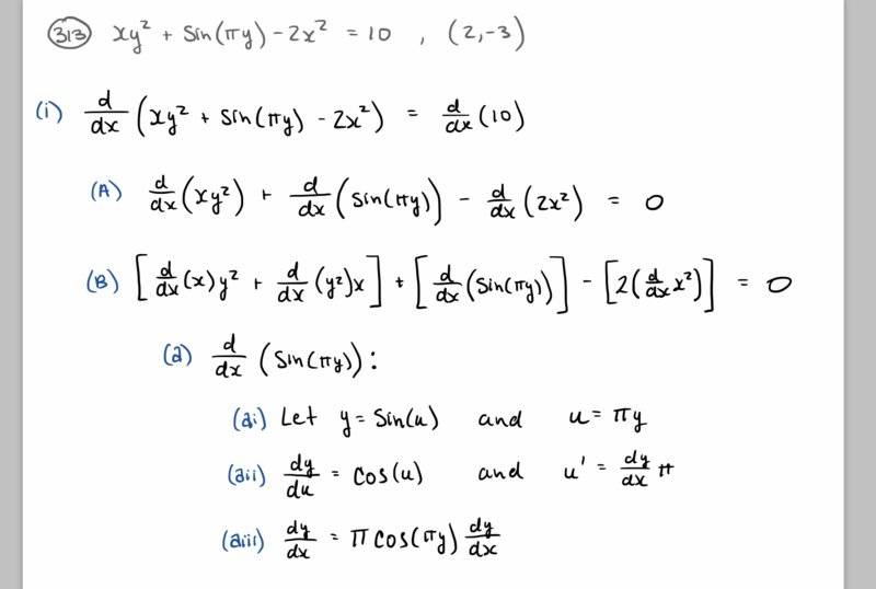
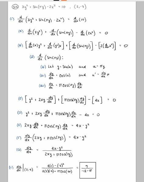
Homework Statement
Find the equation of the tangent line to the graph of the given equation at the indicated point.
##xy^2+sin(πy)-2x^2=10## at point ##(2,-3)##
Homework Equations
The Attempt at a Solution
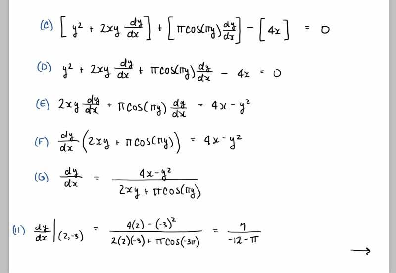
Please see attached image so you can see my thought process. I think it would make more sense that typing it out.
My solution is ##\frac{7}{-12-π}## But I don't think this is correct. The ##πy## inside the argument of the sin function is throwing me off.
