Find proportions when there are 2 variables

  • Thread starter Thread starter P-Illiterate
  • Start date Start date
  • Tags Tags
    Variables
Click For Summary
SUMMARY

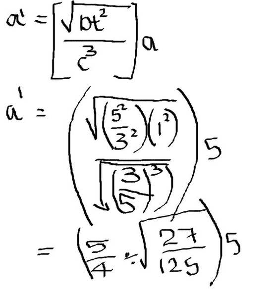
The discussion focuses on finding the value of 'a'' when given the proportional relationships involving two variables, 'b' and 'c', along with a constant 't'. Specifically, 'a' is defined as proportional to the square root of the product of 'b' and 't^2', and inversely proportional to 'c^3'. With the initial conditions of 'a' being 5 when 'b' equals 9, 't' equals 2, and 'c' equals 3, participants derive the formula a(b, t, c) = (sqrt(b * t^2) / c^3) * k, where 'k' is the proportionality constant. The goal is to calculate 'a'' for new values of 'b' (25), 't' (2), and 'c' (5).

PREREQUISITES
  • Understanding of proportional relationships in mathematics
  • Familiarity with square roots and exponents
  • Basic algebraic manipulation skills
  • Knowledge of constants in mathematical equations
NEXT STEPS
  • Calculate the proportionality constant 'k' using the initial conditions provided
  • Apply the derived formula to find 'a'' for the new variable values
  • Explore the concept of inverse proportionality in mathematical functions
  • Review mathematical modeling techniques involving multiple variables
USEFUL FOR

Students, educators, and professionals in mathematics or engineering who are dealing with proportional relationships and variable manipulation in equations.

P-Illiterate
Messages
28
Reaction score
0
a is proportional to square root of (b *t2)
a is proportional to 1/c3

a is 5, when b = 9, t = 2, c = 3

Find a' when b'=25, t'=2, c'=5

My attempt:
jhycs4.jpg


= (25 root 5/12 root 3) 5

I think my steps are wrong, can someone help me!?
 
Physics news on Phys.org
I think you are getting confused by the a / a' notation.

P-Illiterate said:
a is proportional to square root of (b *t2)
a is proportional to 1/c3
Let's start with this part. This means, that a contains both those factors, so you can write it as
[tex]a(b, t, c) = \frac{\sqrt{b t^2}}{c^3} \cdot k[/tex]
The k here is some constant number (the proportionality factor). Note that I have written the left hand side as if it were a function of b, t and c.

Now, you know that a(b = 9, t = 2, c = 3) equals 5, you can use that to calculate the proportionality constant k.
 
Thank you so much for the help :)
 

Similar threads

Replies
9
Views
3K
  • · Replies 22 ·
Replies
22
Views
2K
Replies
2
Views
2K
Replies
7
Views
3K
  • · Replies 4 ·
Replies
4
Views
1K
Replies
2
Views
2K
Replies
3
Views
2K
  • · Replies 12 ·
Replies
12
Views
3K
  • · Replies 3 ·
Replies
3
Views
1K
Replies
3
Views
2K