Find the diameter of the piston at certain heights

Click For Summary

Homework Help Overview

The discussion revolves around determining the diameter of a piston at certain heights, involving concepts from fluid mechanics and pressure equations. The original poster is attempting to solve for the radius of the piston using given equations and parameters.

Discussion Character

  • Exploratory, Mathematical reasoning, Assumption checking

Approaches and Questions Raised

  • The original poster attempts to apply the equation relating forces and areas to find the radius of the piston but encounters an undefined result. Participants question the calculations and the units used, suggesting a need for clarity in the setup and assumptions.

Discussion Status

The discussion is ongoing, with participants providing guidance on recalculating and emphasizing the importance of consistent units. There is no explicit consensus yet, as multiple interpretations of the calculations and assumptions are being explored.

Contextual Notes

sgk777
Messages
4
Reaction score
0
Homework Statement
A 56.0 kg cheerleader uses an oil-filled hydraulic lift to hold four 130 kg football players at a height of 0.900 m. The diameter of the cheerleader's piston is 18.0 cm.

A) What is the diameter of the football players' piston if the cheerleader and football players are at the same height?

B) What is the diameter of the football players' piston if the football players are held to a height 0.900 m above the cheerleader?
Relevant Equations
F1/A1 = F2/A2 + pgh
1698536610892.png

I solved for part A by using the equation r2 = sqrt(m2/m1) * r1

im having trouble solving for part B, I know that you would use the equation F1/A1 = F2/A2 + pgh and solve for r2, but when I solved for r2, I got an undefined number. Can someone run me through this question?
 
Physics news on Phys.org
Welcome, @sgk777 !

We need you to post your calculations, please.
 
Lnewqban said:
Welcome, @sgk777 !

We need you to post your calculations, please.
A)

1698538424520.png


B)

F1/A1 = F2/A2 + pgh
(F1/A1 = F2/A2 + pgh)(A1 * A2) multiply both sides by A1 and A2 to cancel out the denominator
that gives:
A2F1 = A1F2 +A1A2(pgh)
subtract A1A2(pgh) from both sides:
A2F1 - A1A2(pgh) = A1F2
factor out A2:
A2(F1 - A1(pgh)) = A1F2
divide both sides by (F1 - A1(pgh)):
A2 = A1F2 / (F1 - A1(pgh))
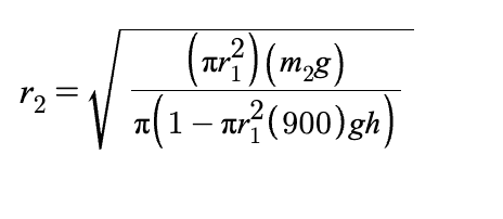
solve for r2, where A1 = pi(r1)^2 and A2 = pi(r2)^2 and F1 = m1g and F2 = m2g.
that gave me:
1698538729776.png

when i plugged in the known values, i got an undefined number.
 
redoing my calculations, i got this:

1698539414334.png

it doesnt seem reasonable though
 
It might be useful to write down the units. Try again, please.
 
1698540728097.png
 
  1. What units on 900 are required so that the equation makes sense?
  2. Where did you get that number?
  3. Are you using /mixing cm and m in tha same equation? Care is required.
 
sgk777 said:
A2 = A1F2 / (F1 - A1(pgh))
solve for r2, where A1 = pi(r1)^2 and A2 = pi(r2)^2 and F1 = m1g and F2 = m2g.
that gave me:
View attachment 334444
How did ##F1 - A1(pgh)## become ##1-A1(pgh)##? (I assume p is 900 kgm-3.)
 

Similar threads

  • · Replies 2 ·
Replies
2
Views
3K
Replies
4
Views
4K
Replies
5
Views
2K
  • · Replies 1 ·
Replies
1
Views
5K
Replies
22
Views
3K
  • · Replies 3 ·
Replies
3
Views
3K
  • · Replies 12 ·
Replies
12
Views
2K
  • · Replies 21 ·
Replies
21
Views
9K
  • · Replies 1 ·
Replies
1
Views
6K
  • · Replies 2 ·
Replies
2
Views
8K