Find the General Solution of This Homog. Linear Sys. w/ Constant Coeff.

Click For Summary
SUMMARY

The discussion focuses on finding the general solution of a homogeneous linear system with constant coefficients, specifically through the calculation of eigenvalues. The primary methods discussed include solving the characteristic polynomial using the determinant equation det(A-λI) = 0 and employing the trace-determinant plane equation. The user encountered difficulties with the quadratic formula and row reduction techniques, leading to confusion regarding the correct eigenvalues, which the book lists as 1 and -i. A critical error in the user's determinant calculation was identified, emphasizing the importance of correctly evaluating matrix entries.

PREREQUISITES
  • Understanding of eigenvalues and eigenvectors in linear algebra
  • Familiarity with determinants and matrix operations
  • Knowledge of quadratic equations and the quadratic formula
  • Experience with row reduction techniques in solving linear systems
NEXT STEPS
  • Study the process of calculating eigenvalues using the characteristic polynomial method
  • Learn about the trace-determinant plane and its applications in linear algebra
  • Explore row reduction techniques and their impact on solving linear systems
  • Review complex numbers and their role in eigenvalue calculations
USEFUL FOR

Students and professionals in mathematics, particularly those studying linear algebra, differential equations, or anyone involved in solving homogeneous systems with constant coefficients.

rugerts
Messages
153
Reaction score
11
Homework Statement
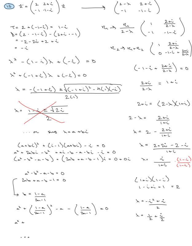
Find the general solution of the given system of equations.
Relevant Equations
Finding eigenvalues: det(A-λI) = 0 ; Trace determinant plane eqn: λ^2 -Tλ + D
Finding eigenvectors: solve v(A-λI) = 0 (v and zero are vectors)
Hello,
I'm trying to find the general solution of this homog. system w/ constant coefficients. I can't even get past the first step, which is to find the eigenvalues. As far as I know, there are a few approaches:

1) solve det(A-λI) = 0

2) solve the trace determinant plane equation (which is practically the same as step 1). Then use quadratic formula. Here things get ugly pretty quickly.
See this calculation here, https://www.symbolab.com/solver/quadratic-equation-calculator/solve x^{2}-\left(1-i\right)x-i=0 , a substitution x=a+bi is made (which I didn't even know was at my disposal). When I solve without making this substitution, as you can see in my work below crossed by the red X, it appears as though my answer for eigenvalues is incorrect at least from what the book has.
I wonder if the answer I got and what the book has are equivalent?

3) Try to row reduce such that I get a zero for one entry and it simplifies things greatly. Here, https://www.slader.com/textbook/9780470458310-elementary-differential-equations-and-boundary-value-problems-10th-edition/405/problems/10/ , you can see this was done but I don't see what exact row operations they performed to get here, and it's unlikely I would have come up with the same. In fact, you can see in my work I did different row operations, and came upon a result. Is this result also equivalent to what the book has for its eigenvalues?

Note: The book lists the eigenvalues as 1 and -i.

Here's my work:
IMG-2058.JPG
 
Physics news on Phys.org
It looks like you have a mistake right at the beginning of your work, in evaluating the determinant of your matrix. This is in the first line of your work.
The determinant should be ##\begin{vmatrix}2-\lambda & 2 + i \\ -1 & -1 - i - \lambda \end{vmatrix}##
In your work at the top of the page you neglected ##\lambda## in the lower right entry.
 

Similar threads

  • · Replies 12 ·
Replies
12
Views
2K
  • · Replies 5 ·
Replies
5
Views
2K
  • · Replies 9 ·
Replies
9
Views
2K
Replies
2
Views
2K
  • · Replies 6 ·
Replies
6
Views
2K
Replies
2
Views
2K
  • · Replies 7 ·
Replies
7
Views
2K
Replies
9
Views
2K
  • · Replies 5 ·
Replies
5
Views
3K
  • · Replies 16 ·
Replies
16
Views
3K