Finding magnitude and angle of Fnet (Concept question)

  • Thread starter Thread starter A-linav
  • Start date Start date
  • Tags Tags
    Angle Magnitude
Click For Summary
SUMMARY

The discussion focuses on determining the correct angle for the net force (Fnet) in physics problems involving free body diagrams and vector addition. The participant successfully calculates the magnitude of Fnet but struggles with when to subtract the corner angle from the resultant angle. Key insights include the arbitrary choice of labeling angles and the necessity of visualizing the problem with diagrams to clarify the relationships between angles. The Sine Law and Cosine Law are essential tools for resolving these vector problems.

PREREQUISITES
  • Understanding of free body diagrams
  • Proficiency in vector addition
  • Knowledge of Sine Law and Cosine Law
  • Familiarity with Newton's second law (F=ma)
NEXT STEPS
  • Study the application of Sine Law in vector resolution
  • Learn how to effectively draw and interpret free body diagrams
  • Explore the concept of angle labeling in vector problems
  • Practice problems involving resultant forces and angle calculations
USEFUL FOR

Students studying physics, particularly those focusing on mechanics and vector analysis, as well as educators seeking to clarify concepts related to force diagrams and angle determination.

A-linav

Homework Statement


Hello,
I can find the magnitude of Fnet from free body diagrams or from addition of vectors. My issue however is how do I know when to subtract the angle I found with the corner angle? I've attached two questions and the answers to them.
In the first question, the angle that was found is the resultant angle for Fnet. In the second question, the angle that is found is then subtracted by the corner angle. How do I know what angle is the correct one for Fnet? Can someone please explain to me possibly with a diagram?

Thanks

Screen Shot 2017-08-17 at 1.06.55 PM.png

Homework Equations


Sine Law
Cosine Law
F=ma

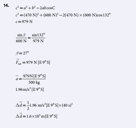
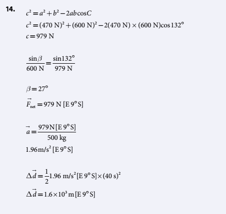
The Attempt at a Solution


Screen Shot 2017-08-17 at 1.07.04 PM.png
Screen Shot 2017-08-17 at 1.07.13 PM.png
 
Physics news on Phys.org
A-linav said:

Homework Statement


Hello,
I can find the magnitude of Fnet from free body diagrams or from addition of vectors. My issue however is how do I know when to subtract the angle I found with the corner angle? I've attached two questions and the answers to them.
In the first question, the angle that was found is the resultant angle for Fnet. In the second question, the angle that is found is then subtracted by the corner angle. How do I know what angle is the correct one for Fnet? Can someone please explain to me possibly with a diagram?

Thanks

View attachment 209182

Homework Equations


Sine Law
Cosine Law
F=ma

The Attempt at a Solution


View attachment 209183 View attachment 209184
You did not post a diagram for the second problem showing the triangle with the resultant and marking the angle β.
In each case, how to use β to find a direction in terms of the compass is evident from the diagram.

The choice of angle to call β is arbitrary.
In the diagram I drew of problem 14, it seems that to get the answer 9 degrees they subtracted the given 18 degrees from β. In the diagram for the first problem, consider what would happen if we chose to label the angle on the right as β ( the one shown as 35+45). Having computed β we would have to subtract the 45 to get the answer, making the procedure the same for both problems.
 

Similar threads

Replies
2
Views
2K
Replies
14
Views
3K
  • · Replies 9 ·
Replies
9
Views
2K
Replies
14
Views
2K
Replies
12
Views
2K
  • · Replies 4 ·
Replies
4
Views
3K
  • · Replies 26 ·
Replies
26
Views
4K
  • · Replies 10 ·
Replies
10
Views
2K
  • · Replies 15 ·
Replies
15
Views
1K
Replies
25
Views
2K