Finding the inverse of a matrix using transformations?

Click For Summary
SUMMARY

The discussion centers on the process of finding the inverse of a matrix using transformations, specifically addressing the equation A = I.A. The participants clarify that transformations applied to the left-hand side (LHS) must also be applied to the right-hand side (RHS) to maintain equality. They emphasize that matrix multiplication is not commutative and that transformations should not be "doubled up" on the RHS. The conversation highlights the importance of understanding linear transformations and their relation to abstract algebra.

PREREQUISITES
  • Matrix multiplication and its properties
  • Understanding of linear transformations
  • Basic knowledge of abstract algebra
  • Familiarity with the concept of matrix inverses
NEXT STEPS
  • Study the properties of matrix multiplication and non-commutativity
  • Explore linear transformations in depth
  • Learn about proofs related to matrix inverses and their applications
  • Investigate the relationship between matrices and real numbers in abstract algebra
USEFUL FOR

Mathematicians, students of linear algebra, and anyone interested in understanding matrix operations and their theoretical foundations.

parshyaa
Messages
307
Reaction score
19
We use A = I.A as equation and then by transforming only A of LHS and I of RHS we come to I = P.A and we say that P is the inverse of matrix A
My question is that why we only tranform A and I, why A of RHS is left as it is during the transformation, or why transformation do not take place in both the part of RHS
 
Physics news on Phys.org
Each transformation step, T, is multiplication on the left: TA = TIA. It is not also multiplying the A of the RHS. TA ≠ TITA
 
FactChecker said:
TA ≠ TITA
Can you prove it
Or is it like i am transforming only one matrix on LHS therefore i have to transform only one from RHS
 
You must do the same things on both sides to keep them equal. Left multiply both sides to get TI = TIA. That keeps the two sides equal. Given a series of transformations Tn...T2T1, You have Tn...T2T1I = Tn...T2T1IA.

You should not "double up" on the right-side transformations like Tn...T2T1ITn...T2T1A
 
Last edited:
  • Like
Likes   Reactions: parshyaa
FactChecker said:
You must do the same things on both sides to keep them equal. Left multiply both sides to get TI = TIA. That keeps the two sides equal. Given a series of transformations T1T2...Tn, You have T1T2...TnI = T1T2...TnIA.

You should not "double up" on the right-side transformations like T1T2...TnIT1T2...TnA
Is their a proof which says that if A =BC
Then the transformation of A is done simultaneously with transformation of B or C but not with both, i know that first one is right but is their a proof
 
Matrix multiplication is similar to multiplication of real numbers, except that it is not commutative and there is not a guaranteed multiplicative inverse. This should be proven early in the theory of matrices. So this question is very similar to a question about real numbers: Since 6 = 2×3, is 4×6 = 4×2×3 or should it be 4×6 = 4×2×4×3

PS. Studying the similarity and differences of linear transformations, matrices, real numbers, etc. is a good motivation for the study of abstract algebra. That is where these issues are addressed directly.
 
  • Like
Likes   Reactions: parshyaa
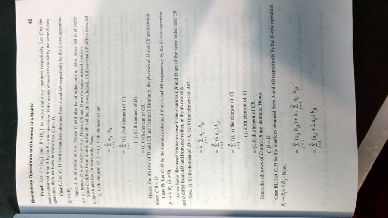
IMG_20170627_212308393_HDR.jpg

IMG_20170627_212329829_HDR.jpg

IMG_20170627_212345731_HDR.jpg

I got this proof from an old book but its really satisfying
 
Good proof. One way to quickly see that your alternative hypothesis ( TA = TITA ) was wrong is to realize that the real numbers are 1x1 matrices. So a counterexample in the reals is also a counterexample in matrices. That can sometimes allow you avoid trying to prove something that is wrong. Of course, there are things that are true for the reals that are not true for general matrices, so checking something in the real numbers won't always tell you if something is wrong for matrices.
 
  • Like
Likes   Reactions: parshyaa
FactChecker said:
Good proof. One way to quickly see that your alternative hypothesis ( TA = TITA ) was wrong is to realize that the real numbers are 1x1 matrices. So a counterexample in the reals is also a counterexample in matrices. That can sometimes allow you avoid trying to prove something that is wrong. Of course, there are things that are true for the reals that are not true for general matrices, so checking something in the real numbers won't always tell you if something is wrong for matrices.
Actually my focus was in poving the general case instid of checking the result
 

Similar threads

  • · Replies 8 ·
Replies
8
Views
3K
  • · Replies 1 ·
Replies
1
Views
3K
  • · Replies 8 ·
Replies
8
Views
3K
  • · Replies 1 ·
Replies
1
Views
4K
  • · Replies 34 ·
2
Replies
34
Views
3K
  • · Replies 20 ·
Replies
20
Views
3K
  • · Replies 12 ·
Replies
12
Views
5K
  • · Replies 0 ·
Replies
0
Views
3K
  • · Replies 25 ·
Replies
25
Views
3K
  • · Replies 33 ·
2
Replies
33
Views
3K