Finding the probability of transition

Click For Summary

Homework Help Overview

The discussion revolves around calculating the probability of transition in quantum mechanics, specifically using a formula related to perturbation theory. The original poster expresses uncertainty about the application of the transition probability formula and the implications of the perturbation being turned on and off at specific times.

Discussion Character

  • Exploratory, Assumption checking, Conceptual clarification

Approaches and Questions Raised

  • The original poster attempts to apply a formula for transition probabilities but questions whether they have correctly accounted for the timing of the perturbation. Other participants provide feedback on the use of parameters and the significance of time in the formula.

Discussion Status

Participants are actively engaging with the original poster's concerns, offering clarifications about the role of the perturbation and its timing in the transition probability expression. There is a productive exchange of ideas, with some guidance provided on how to interpret the formula in the context of the problem.

Contextual Notes

There is a focus on the timing of the perturbation being turned on and off, with specific reference to how this affects the transition probability. The original poster's simplification of parameters is noted, and there are discussions about the implications of switching off the perturbation on the transition amplitude.

Muthumanimaran
Messages
79
Reaction score
2

Homework Statement


The question is attached below
Screenshot 2018-02-20 09.04.34.png


Homework Equations


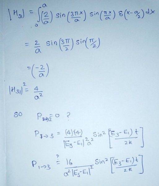
$$P_{i \to n}(t)=\frac{|4H_{ni}|^2}{|E_{n}-E_{i}|^2}\sin^2\bigg[ \frac{(E_n-E_i)t}{2\hbar} \bigg]$$

The Attempt at a Solution



274.jpeg

275.jpeg

for simplicity I kept k=1

I don't know whether my approach is correct. That is I am not sure whether I used the correct formula for calculating transition probabilities, I afraid that I have not used the fact the perturbation is turned on at $$t=t_i$$ and turned off at $$t=t_f$$ anywhere in the solution. Any help is appreciated.
 

Attachments

  • Screenshot 2018-02-20 09.04.34.png
    Screenshot 2018-02-20 09.04.34.png
    11 KB · Views: 894
  • 274.jpeg
    274.jpeg
    34.9 KB · Views: 562
  • 275.jpeg
    275.jpeg
    24.9 KB · Views: 555
Last edited:
Physics news on Phys.org
Your work looks good to me, except you seem to have dropped the factor of ##k## that was part of the perturbation. (Note that your result for ##P_{1 \to 3}## doesn't have the right dimensions for a probability.)

EDIT: Please ignore the parts of my comment related to ##k##. I overlooked your statement: "for simplicity I kept k=1"

To see how ##t_i## and ##t_f## enter the solution, review the meaning of ##t## in
$$P_{i \to n}(t)=\frac{|4H_{ni}|^2}{|E_{n}-E_{i}|^2}\sin^2\bigg[ \frac{(E_n-E_i)t}{2\hbar} \bigg]$$
 
Last edited:
TSny said:
Your work looks good to me, except you seem to have dropped the factor of ##k## that was part of the perturbation. (Note that your result for ##P_{1 \to 3}## doesn't have the right dimensions for a probability.)

EDIT: Please ignore the parts of my comment related to ##k##. I overlooked your statement: "for simplicity I kept k=1"

To see how ##t_i## and ##t_f## enter the solution, review the meaning of ##t## in
$$P_{i \to n}(t)=\frac{|4H_{ni}|^2}{|E_{n}-E_{i}|^2}\sin^2\bigg[ \frac{(E_n-E_i)t}{2\hbar} \bigg]$$
The time "t" refers to time after "pertubation is turned on"

The relevant expression for probability of transition to find the probability of transition from intial state to final state when the perturbation is turned at t=0, after that perturbation will not be turned off.

But the question asked is to find the transition probability after the perturbation is turned off. Will turning off pertubation after some time will affect the expression for transition amplitude that I mentioned?
 
Muthumanimaran said:
The time "t" refers to time after "pertubation is turned on"

The relevant expression for probability of transition to find the probability of transition from intial state to final state when the perturbation is turned at t=0,
OK. So, how would you alter the expression for the probability so that it corresponds to switching on the perturbation at time ##t = t_i## rather than at ##t = 0##?

Will turning off pertubation after some time will affect the expression for transition amplitude that I mentioned?
No. Your probability expression gives the probability that at some time ##t## (while the perturbation is on) the system would be found in the ##n##th stationary state of the unperturbed system. If the perturbation is switched off at this time, then the system is back to being the unperturbed system. The probability of being in a particular stationary state of the unperturbed system will no longer change with time
 
  • Like
Likes   Reactions: Muthumanimaran
TSny said:
OK. So, how would you alter the expression for the probability so that it corresponds to switching on the perturbation at time ##t = t_i## rather than at ##t = 0##?

No. Your probability expression gives the probability that at some time ##t## (while the perturbation is on) the system would be found in the ##n##th stationary state of the unperturbed system. If the perturbation is switched off at this time, then the system is back to being the unperturbed system. The probability of being in a particular stationary state of the unperturbed system will no longer change with time
Thanks now I understand what you are trying to say.
 

Similar threads

  • · Replies 5 ·
Replies
5
Views
2K
Replies
9
Views
4K
Replies
24
Views
3K
  • · Replies 2 ·
Replies
2
Views
3K
Replies
3
Views
2K
  • · Replies 1 ·
Replies
1
Views
1K
  • · Replies 2 ·
Replies
2
Views
2K
Replies
1
Views
2K
  • · Replies 1 ·
Replies
1
Views
2K
Replies
1
Views
2K