idlackage
- 10
- 0
First principles--do both equations always work?
Find the slope of the tangent line to f(x) = 4 / (3-x) at the point x = 5.
m = lim(x->a) f(x) - f(a) / (x-a)
m = lim(h->0) f(a+h) - f(a) / h
With the second equation:
As the picture says, 1 is the correct answer for this question, but getting to it with the second equation brings me to the third last step which I'm not completely sure how to simplify. And by my guess, I'm doing it wrong. I can work it out fine with the first equation.
Semi relevant question--are both equations supposed to always work?
Homework Statement
Find the slope of the tangent line to f(x) = 4 / (3-x) at the point x = 5.
Homework Equations
m = lim(x->a) f(x) - f(a) / (x-a)
m = lim(h->0) f(a+h) - f(a) / h
The Attempt at a Solution
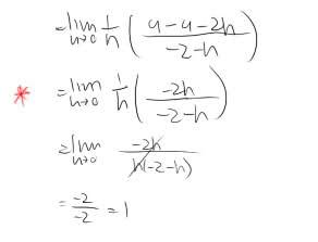
With the second equation:
As the picture says, 1 is the correct answer for this question, but getting to it with the second equation brings me to the third last step which I'm not completely sure how to simplify. And by my guess, I'm doing it wrong. I can work it out fine with the first equation.
Semi relevant question--are both equations supposed to always work?
