Fixed Point Iteration for Solving Equations

Click For Summary
SUMMARY

The forum discussion focuses on applying fixed point iteration to solve the equation x³ = 2x + 2, with the goal of achieving eight correct decimal places. The correct iterative formula for this problem is x_{n+1} = 2(x_n + 1) / x_n². Users reported issues with convergence, particularly when starting with initial guesses such as -2, -1, 0, 1, 2, 3, and 4, ultimately noting that the solution converges to approximately 1.76929235 when using appropriate initial values like x₀ = 1 or x₀ = 2.

PREREQUISITES
  • Understanding of fixed point iteration methods
  • Familiarity with algebraic manipulation of equations
  • Basic knowledge of convergence criteria for iterative methods
  • Experience with numerical methods for solving equations
NEXT STEPS
  • Implement fixed point iteration in Python using libraries like NumPy
  • Study convergence criteria for fixed point iteration
  • Explore alternative numerical methods such as Newton's method
  • Analyze the effects of different initial guesses on convergence
USEFUL FOR

Students, mathematicians, and engineers interested in numerical analysis and iterative methods for solving equations.

Huumah
Messages
27
Reaction score
0

Homework Statement


Apply fixed point iteration to find the solution of each equation to eight correct decimal places

x3=2x+2



The Attempt at a Solution


I have tried to rewrite the equation for in every possible way to solve for one x and pluggin in my guess( have tried -2,-1,0,1,2,3,4)

and finding x1 and then x2 and plugging them all inn seperatly.

rIvNr0a.png


But my answer switches from positive values to negative values and never seems to be converging to the answer which is 1.76929235


I can understand the sample problem but I'm stuck on this problem.
 
Physics news on Phys.org
Huumah said:

Homework Statement


Apply fixed point iteration to find the solution of each equation to eight correct decimal places

x3=2x+2

The Attempt at a Solution


I have tried to rewrite the equation for in every possible way to solve for one x and pluggin in my guess( have tried -2,-1,0,1,2,3,4)

and finding x1 and then x2 and plugging them all inn seperatly.

rIvNr0a.png
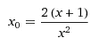
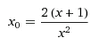
The formula you show above is incorrect. It should be
$$ x_{n+1} = \frac{2(x_n + 1)}{x_n^2}$$
Huumah said:
But my answer switches from positive values to negative values and never seems to be converging to the answer which is 1.76929235I can understand the sample problem but I'm stuck on this problem.

If you start with x0 = 1, what are the next three numbers you get?
If you start with x0 = 2, what are the next three numbers you get?
 
Don't forget that there are conditions for a function to have a fixed point.

The expression I used is:

[itex] x_{n+1}=\sqrt { \frac { 2\left ( x_n + 1 \right )}{x_n} }[/itex]

Try with [itex]x_0 = 1[/itex] and [itex]x_0 = 2[/itex] and let me know.

J.
 

Similar threads

  • · Replies 12 ·
Replies
12
Views
2K
  • · Replies 16 ·
Replies
16
Views
2K
  • · Replies 2 ·
Replies
2
Views
3K
  • · Replies 1 ·
Replies
1
Views
7K
  • · Replies 4 ·
Replies
4
Views
1K
  • · Replies 22 ·
Replies
22
Views
3K
  • · Replies 4 ·
Replies
4
Views
3K
  • · Replies 4 ·
Replies
4
Views
3K
  • · Replies 2 ·
Replies
2
Views
1K
Replies
5
Views
2K