Fourier series and sketch the waveform

Click For Summary

Discussion Overview

The discussion revolves around sketching a specific piecewise waveform and obtaining its Fourier series representation. Participants are exploring the function defined in segments, addressing its transitions, and attempting to understand the Fourier coefficients associated with the waveform.

Discussion Character

  • Homework-related
  • Exploratory
  • Technical explanation
  • Debate/contested

Main Points Raised

  • Participants discuss the piecewise definition of the function, noting that it is zero in certain intervals and follows a sine function in others.
  • Some participants express uncertainty about how to sketch the waveform accurately, particularly at the transition points.
  • There are questions about the correct interpretation of the function's behavior at the boundaries of the segments, particularly regarding continuity and value assignment.
  • Participants share links to Wolfram Alpha in attempts to visualize the Fourier series but express doubts about the results.
  • There is a discussion about calculating the Fourier coefficients, specifically a0, with some participants unsure about the integration process involved.
  • Some participants question whether a full Fourier series is required or if a general explanation of the process would suffice.

Areas of Agreement / Disagreement

Participants generally agree on the piecewise nature of the function and the need to sketch it, but there are multiple competing views on how to accurately represent the transitions and calculate the Fourier coefficients. The discussion remains unresolved regarding the exact values of the coefficients and the expectations for the homework assignment.

Contextual Notes

There are unresolved questions about the continuity of the function at the transition points and the specific integration steps required to derive the Fourier coefficients. Participants express varying levels of understanding regarding the mathematical processes involved.

Who May Find This Useful

Students studying Fourier series, waveform analysis, and piecewise functions may find this discussion relevant, particularly those seeking clarification on sketching and calculating Fourier coefficients.

  • #31
MattSiemens said:
Am I right in saying then gneill that there is no symmetry and that applying the rules for odd and even functions this proves that?
There is plenty of symmetry, just not the very simplest symmetry ##f(-x) = \pm f(x)##
 
Physics news on Phys.org
  • #32
MattSiemens said:
Am I right in saying then gneill that there is no symmetry and that applying the rules for odd and even functions this proves that?
I would agree that the test shows that the function is neither odd nor even.
 
  • #33
gneill said:
I would agree that the test shows that the function is neither odd nor even.
Thanks both gneil and BvU :-)
 
  • #34
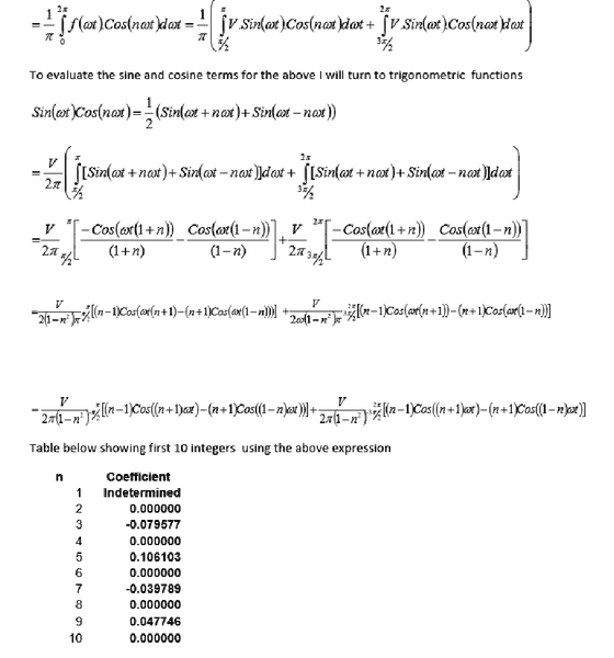
Hi this is my first post please be gentle, I am on a track to answers to this question however my coefficient values seem different to this post and https://www.physicsforums.com/threads/fourier-series-of-a-waveform.766224/page-2#post-5143480.

Am I way off track with my understanding which I have attached for your attention.

Regards
1.png
2.png
3.png
 

Attachments

  • 1.png
    1.png
    13.5 KB · Views: 996
  • 2.png
    2.png
    17.3 KB · Views: 984
  • 3.png
    3.png
    21.3 KB · Views: 965
Last edited by a moderator:

Similar threads

  • · Replies 3 ·
Replies
3
Views
2K
  • · Replies 2 ·
Replies
2
Views
4K
Replies
5
Views
2K
  • · Replies 3 ·
Replies
3
Views
3K
Replies
17
Views
6K
  • · Replies 3 ·
Replies
3
Views
2K
  • · Replies 2 ·
Replies
2
Views
2K
Replies
42
Views
15K
  • · Replies 4 ·
Replies
4
Views
3K
  • · Replies 26 ·
Replies
26
Views
3K