Fresnel Zone Equation Problem

Click For Summary

Discussion Overview

The discussion revolves around the Fresnel zone equation as it applies to telecommunications, specifically addressing confusion regarding the units of distance and wavelength, and the derivation of the equation from a general form. Participants explore the implications of unit conversions and the calculation process involved in understanding the Fresnel zone.

Discussion Character

  • Technical explanation
  • Debate/contested
  • Mathematical reasoning

Main Points Raised

  • One participant expresses confusion about the Fresnel zone equation and the lack of clarity regarding units in a referenced calculator.
  • Another participant points out a mistake related to unit tracking in calculations involving the speed of light.
  • There is a discussion about the potential impact of typos in referenced materials on understanding the equation.
  • Participants discuss the substitution of numerical values for constants while leaving variables in the equation, which contributes to confusion.
  • Concerns are raised about the reliance on simulations and numerical values without a proper mathematical framework.

Areas of Agreement / Disagreement

Participants do not reach a consensus on the correct approach to the Fresnel zone equation, and multiple competing views regarding unit usage and calculation methods remain unresolved.

Contextual Notes

There are limitations regarding the clarity of units used in the equations and the assumptions made about the constants involved, which may affect the understanding of the calculations.

sinus
Messages
17
Reaction score
1
TL;DR
I'm a little confused with the fresnel zone equation, although this topic is more specialized in telecommunications, but since physics is basic knowledge and every advanced science major is based on the laws of physics, so please help me on this one.
In telecommunication system there's a fresnel zone, it's an area between transmitter and receiver (i'm sure all the experts in this forum already knew about that).
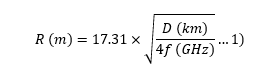
So, in this website (Fresnel Zone Calculator - everything RF) provide a Fresnel Zone Calculator, it also tells the equation, which is:
1741798525299.png

That formula above is obtained from the general equation if using n (fresnel zone number) = 1
1741798567233.png

Because the website didn't tell the unit of the distance and wavelength (I know the SI unit is meters, but still, incomplete equation without telling the unit can make confuse since there are a lot of conversion of unit), so I search another source, I found in this article Utilization of Trendlines in Determining Antenna Heights for Microwave Communications, and the equation is
1741798615717.png

For making sure, I check the dimension for both the left and right side, but using the unit instead of the real dimension, it turns out to be false if the distance is in km unit.
1741798642130.png

From this step, I'm surely use d in unit meters cause the general equations only true if d in meters.
Next, i want to know how to obtain equation 1) from the general equation. So, I did this:
1741798798471.png

1741799010492.png

1741799406046.png

The red bold is when I miss calculate it, so I was happy when I thought I reach my goal to obtain the same equation

So yeah, it become different with equation 1), if it should be same, it must 17.320,51 divided by 1.000, but when I calculate, it multiplies them. Please help me find my mistake calculating this equation.

Note: I also looking any explanation video on youtube, but they only tell the equation 1), didn't explain any further how to get that equation.
 
Science news on Phys.org
Your mistake is not keeping track of units for the number you say is the square root of the speed of light.
 
sinus said:
TL;DR Summary: I'm a little confused with the fresnel zone equation, although this topic is more specialized in telecommunications, but since physics is basic knowledge and every advanced science major is based on the laws of physics, so please help me on this one.

In telecommunication system there's a fresnel zone, it's an area between transmitter and receiver (i'm sure all the experts in this forum already knew about that).
So, in this website (Fresnel Zone Calculator - everything RF) provide a Fresnel Zone Calculator, it also tells the equation, which is:
View attachment 358434
That formula above is obtained from the general equation if using n (fresnel zone number) = 1
View attachment 358436
Because the website didn't tell the unit of the distance and wavelength (I know the SI unit is meters, but still, incomplete equation without telling the unit can make confuse since there are a lot of conversion of unit), so I search [...]
Perhaps the typo in the first image (below) is creating some confusion?

Untitled.jpg
 
Haborix said:
Your mistake is not keeping track of units for the number you say is the square root of the speed of light.
Because I think the speed of light is a constanta. But I give it a try to include m/s^2, but still, it doesn't solve the problem.
1741851196895.png

In here: [1] and [2], both the frequency is in MHz unit
Source: [1]
1741851458119.png

Source: [2]
1741851408536.png

I calculate to check both the right and left side, it turns out that they just same.
1741853155756.png

I'm still confuse 'cause I can't find the way to obtain Equation (1) from general equation whose had n parameter. There's additional 1.000 that should multiply with 17.32, when in every fresnel zone equation that I see, there's no 1.000
 
Andy Resnick said:
Perhaps the typo in the first image (below) is creating some confusion?

View attachment 358448
well, it could be.. cause the website give unclear unit that should be use
 
$$ \sqrt{c}\approx 17.31*10^{3} \sqrt{\frac{m}{s}}=17.31*10^{3}\sqrt{{m Hz}\frac{1 km}{10^3 m}\frac{GHz}{10^9 Hz}}=17.31*10^{-3} \sqrt{km GHz} $$
 
Haborix said:
$$ \sqrt{c}\approx 17.31*10^{3} \sqrt{\frac{m}{s}}=17.31*10^{3}\sqrt{{m Hz}\frac{1 km}{10^3 m}\frac{GHz}{10^9 Hz}}=17.31*10^{-3} \sqrt{km GHz} $$
ohh, thanks Haborix, I used the wrong unit for c with m/s^2, but please, I'm stuck again :(((
1742024591312.png
 
Isn't that what you wanted to show? Part of the problem here that makes this confusing is the substitution of numerical values for some constants while leaving variables in the equation. That's not your fault, it must just be the practice in this area of technology.
 
Haborix said:
makes this confusing is the substitution of numerical values for some constants while leaving variables in the equation.
The consequences of that are pretty scary. In the same way, relying on simulations is also dangerous. Science has only advanced because people stopped just using measured or observed numbers and used symbols to describe the patterns of how things behave. It's a real cop-out to avoid the Maths and to use 'magic numbers'.
 

Similar threads

  • · Replies 6 ·
Replies
6
Views
1K
  • · Replies 58 ·
2
Replies
58
Views
8K
  • · Replies 8 ·
Replies
8
Views
3K
  • · Replies 6 ·
Replies
6
Views
5K
  • · Replies 4 ·
Replies
4
Views
2K
  • · Replies 6 ·
Replies
6
Views
2K
  • · Replies 15 ·
Replies
15
Views
3K
  • · Replies 2 ·
Replies
2
Views
3K
  • · Replies 19 ·
Replies
19
Views
6K
  • · Replies 2 ·
Replies
2
Views
5K