General Question about Vibrations

Click For Summary

Discussion Overview

The discussion centers around an experiment involving a metal beam with a motor and eccentric mass, focusing on the observed difference between resonance frequency and natural frequency during free and forced vibrations. Participants explore the implications of system parameters and calculations related to vibrations, including damping effects and assumptions made in the analysis.

Discussion Character

  • Exploratory
  • Technical explanation
  • Debate/contested
  • Mathematical reasoning

Main Points Raised

  • Thomas reports that the resonance frequency is higher than the natural frequency and questions the reason behind this observation, suggesting a possible connection to the rotating nature of the system.
  • One participant asks for details on how Thomas calculated the natural frequency, indicating interest in the methodology used.
  • Thomas describes using the half power method and logarithmic decrement to find the natural frequency, referencing specific equations.
  • Another participant questions whether the mass, shape, and position of the motor were included in the natural frequency calculation, implying these factors could influence the results.
  • Thomas acknowledges that he did not include the motor's mass in the calculation, suggesting it was beyond the scope of the exercise.
  • A participant suggests that the mass of the motor likely affects the natural frequency, drawing an analogy to how attaching mass to a tuning fork changes its pitch.
  • Another participant posits that the test frequency being higher than the calculated frequency could indicate that the actual mass of the system is lighter than assumed or that the damping factor is less than calculated.
  • One participant notes that the motor is likely the most significant mass in the system and discusses the implications of treating the system as having one degree of freedom, suggesting this may be a significant approximation.
  • A later reply states that the relationship between resonant frequency and natural frequency should always yield a higher resonant frequency, indicating a potential miscalculation in Thomas's approach.

Areas of Agreement / Disagreement

Participants express differing views on the factors influencing the relationship between resonance frequency and natural frequency, with no consensus reached on the cause of the observed discrepancy. Multiple competing hypotheses are presented regarding the calculations and assumptions made.

Contextual Notes

Participants note limitations related to assumptions about the motor's position and mass, as well as the approximation of the system's degrees of freedom, which may affect the accuracy of the calculations and conclusions drawn.

tomadevil
Messages
11
Reaction score
1
Hello Everyone,

I conducted an experiment with a metal beam which had a motor attached to it in with an eccentric mass on it. The two ends of the beams were fixed with a roller and a hinge(as I remember). This was a one degree of freedom experiment.
vib.png

I had to collect data during free/forced and damped/undamped vibrations. My data clearly shows that the resonance frequency is higher than the natural frequency but I don't really know why. I believe they should be the same.
I was thinking it might be related to the fact that this is a rotating system. Am I on the right track?
Can someone explain to me what causes this difference?

Thank you for the answer.
Thomas
 

Attachments

  • vib.png
    vib.png
    15.7 KB · Views: 1,551
Engineering news on Phys.org
That sounds like an interesting experiment.

Can you show us how you calculated the natural frequency?
 

Attachments

  • 133vib_tn.jpg
    133vib_tn.jpg
    3.1 KB · Views: 653
  • 733equ2_tn.jpg
    733equ2_tn.jpg
    1.2 KB · Views: 640
  • 619equ_tn.jpg
    619equ_tn.jpg
    961 bytes · Views: 673
What about the mass, shape and position of the motor, brackets and the mass? Did you include those in the natural frequency calculation?
 
anorlunda said:
What about the mass, shape and position of the motor, brackets and the mass? Did you include those in the natural frequency calculation?
No, I didn't. We have to assume that the motor is exactly in the middle of the beam and I think that would be beyond the scope of this exercise.
 
I asked that because the mass of the motor would probably change the natural frequency. Attach a large mass to a tuning fork and the pitch of the sound changes. The natural frequency of the shaft and the natural frequency of the system are not necessarily the same.

Your original question was why experiment does not agree with calculation. So you are seeking something wrong with your calculation.
 
  • Like
Likes   Reactions: waves and change
The test frequency being higher than the calculated would indicate that possibly either the mass of the system is lighter than that used in your calculation or that the actual damping factor is less than your calculated one.
 
If the actual system looks like your sketch above, then the motor is almost certainly the most significant mass in the system.

In truth, this is a system with infinitely many degrees of freedom. To say that it is 1 DOF involves a significant approximation, but it may be useful.

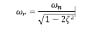
The expression you have relating the resonant frequency to the natural frequency must always give the resonant frequency higher than the natural frequency. You are calculating the resonance frequency by dividing the natural frequency by a number less than 1.0. I think you have some factors mis-arranged.
 

Similar threads

  • · Replies 10 ·
Replies
10
Views
7K
  • · Replies 9 ·
Replies
9
Views
8K
  • · Replies 3 ·
Replies
3
Views
3K
Replies
5
Views
2K
  • · Replies 0 ·
Replies
0
Views
3K
Replies
18
Views
2K
  • · Replies 1 ·
Replies
1
Views
5K
  • · Replies 6 ·
Replies
6
Views
3K
Replies
17
Views
5K
  • · Replies 17 ·
Replies
17
Views
4K