Gram-Schmidt for 1, x, x^2 Must find orthonormal basis

Click For Summary

Homework Help Overview

The problem involves finding an orthonormal basis for the functions 1, x, and x^2 over the interval from -1 to 1, utilizing the Gram-Schmidt process.

Discussion Character

  • Exploratory, Conceptual clarification, Mathematical reasoning

Approaches and Questions Raised

  • Participants discuss the correctness of the original poster's attempt, noting specific issues with the form of the final vector and the normalization process. There are suggestions to express coefficients in closed form rather than as decimals.

Discussion Status

The discussion is active, with participants providing feedback on the original poster's work and suggesting adjustments. Some guidance has been offered regarding the normalization of vectors and the structure of the final expression.

Contextual Notes

There are indications that the original poster's work may not have adhered to the expected format for the final vector, and there are concerns about the normalization steps taken during the Gram-Schmidt process.

shreddinglicks
Messages
225
Reaction score
7

Homework Statement


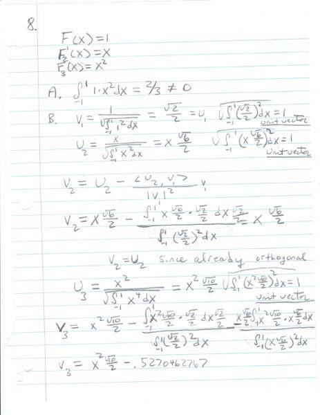
Find orthonormal basis for 1, x, x^2 from -1 to 1.

Homework Equations


Gram-Schmidt equations

The Attempt at a Solution


I did the problem. My attempt is attached. Can someone review and explain where I went wrong? It would be much appreciated.
 

Attachments

  • CCI08312018.jpg
    CCI08312018.jpg
    29.4 KB · Views: 1,565
Physics news on Phys.org
It looks like it might be mostly correct, but you got a little sloppy at the end, and your answer for ## v_3 ## should be of the form ## v_3= Ax^2+Bx+C ## where ## A , B ##, and ## C ## are also closed form expressions, and not a long decimal number. ## \\ ## Edit: And the denominator is unnecessary on the last two terms of ## v_3 ## because the functions ## v_1 ## and ## v_2 ## are normalized. ## \\ ## Additional edit: I think you got it right, but the last term you need to leave it as ## C=-\frac{\sqrt{10}}{6} ##, instead of -.52704.. which I'm sure started out as ##-\frac{\sqrt{10}}{6} ##. ## \\ ## Additional edit: I think it is necessary to normalize this final ## v_3 ## one more time. Also, I think it is not necessary to normalize the vector you are working with before you subtract out the other projections of the previous unit vectors. It makes for an extra step.
 
Last edited:
shreddinglicks said:

Homework Statement


Find orthonormal basis for 1, x, x^2 from -1 to 1.

Homework Equations


Gram-Schmidt equations

The Attempt at a Solution


I did the problem. My attempt is attached. Can someone review and explain where I went wrong? It would be much appreciated.

Most helpers will skip your question and not even attempt to read your posted image. If you are serious about wanting help you ought to type out your work--not nearly as horrible a procedure as you might think. See the Guidelines for more information on this issue.
 
  • Like
Likes   Reactions: vela
Charles Link said:
It looks like it might be mostly correct, but you got a little sloppy at the end, and your answer for ## v_3 ## should be of the form ## v_3= Ax^2+Bx+C ## where ## A , B ##, and ## C ## are also closed form expressions, and not a long decimal number. ## \\ ## Edit: And the denominator is unnecessary on the last two terms of ## v_3 ## because the functions ## v_1 ## and ## v_2 ## are normalized. ## \\ ## Additional edit: I think you got it right, but the last term you need to leave it as ## C=-\frac{\sqrt{10}}{6} ##, instead of -.52704.. which I'm sure started out as ##-\frac{\sqrt{10}}{6} ##. ## \\ ## Additional edit: I think it is necessary to normalize this final ## v_3 ## one more time. Also, I think it is not necessary to normalize the vector you are working with before you subtract out the other projections of the previous unit vectors. It makes for an extra step.

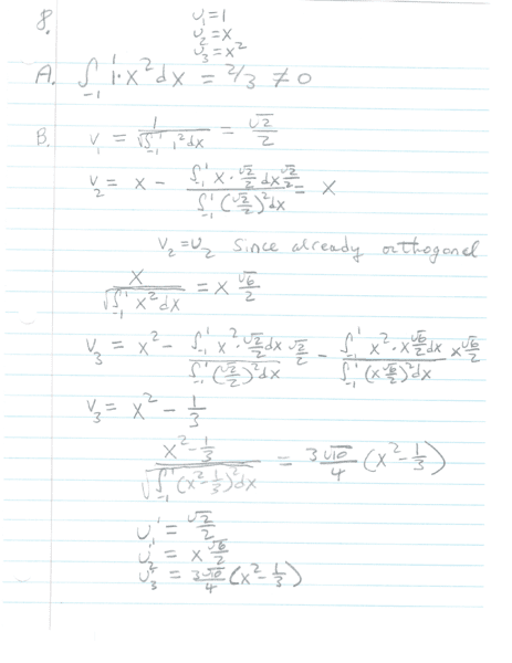
I went through the problem again. It seems if I normalize it after I use the Gram-Schmidt process I get the correct answer. I'm not sure why though.
upload_2018-8-31_21-34-14.png
 

Attachments

  • upload_2018-8-31_21-34-14.png
    upload_2018-8-31_21-34-14.png
    22 KB · Views: 1,664
  • Like
Likes   Reactions: Charles Link
This way is quicker. In your first paper, you still need to normalize your answer of ## v_3=\frac{\sqrt{10}}{2}x^2-\frac{\sqrt{10}}{6} ##. If you work with that, it gives you a denominator of 2/3 as what will make it a unit vector, so that the answer for ## v_3 ## in your first paper needs to be multiplied by 3/2 to make it a unit vector. It then gives the same correct answer as your second paper.
 
Charles Link said:
This way is quicker. In your first paper, you still need to normalize your answer of ## v_3=\frac{\sqrt{10}}{2}x^2-\frac{\sqrt{10}}{6} ##. If you work with that, it gives you a denominator of 2/3 as what will make it a unit vector, so that the answer in your first paper needs to be multiplied by 3/2. It then gives the same correct answer as your second paper.

I see what you mean. Thanks a bunch!
 
  • Like
Likes   Reactions: Charles Link

Similar threads

  • · Replies 16 ·
Replies
16
Views
3K
  • · Replies 3 ·
Replies
3
Views
2K
  • · Replies 2 ·
Replies
2
Views
1K
  • · Replies 14 ·
Replies
14
Views
5K
  • · Replies 1 ·
Replies
1
Views
2K
  • · Replies 5 ·
Replies
5
Views
3K
  • · Replies 5 ·
Replies
5
Views
8K
  • · Replies 11 ·
Replies
11
Views
3K
  • · Replies 1 ·
Replies
1
Views
2K
  • · Replies 1 ·
Replies
1
Views
6K