Gun-Projectile Elastic Collision

Click For Summary

Homework Help Overview

The discussion revolves around a problem involving a projectile fired from a gun, comparing scenarios with and without recoil. The original poster presents a situation where a 45 kg projectile is fired at a speed of 656.6 m/s from a gun with a mass of 6600 kg, seeking to determine the muzzle speed when the gun is free to recoil.

Discussion Character

  • Mixed

Approaches and Questions Raised

  • Participants explore the conservation of momentum in both scenarios, questioning the implications of recoil and external forces. Some suggest that the total momentum created by firing the weapon remains constant, while others express confusion about the application of conservation principles.

Discussion Status

There is an ongoing exploration of the relationship between momentum and energy in the two scenarios. Some participants have provided guidance on using conservation of momentum, while others are still grappling with the concepts and equations involved.

Contextual Notes

Participants note that the mechanical energy supplied by the gunpowder is the same in both scenarios, and there is discussion about the implications of external forces in the recoil-less case. The conversation reflects a mix of understanding and confusion regarding the application of physics principles.

Calvin Pitts
IMG_4684.JPG
IMG_4685.JPG
1. Homework Statement

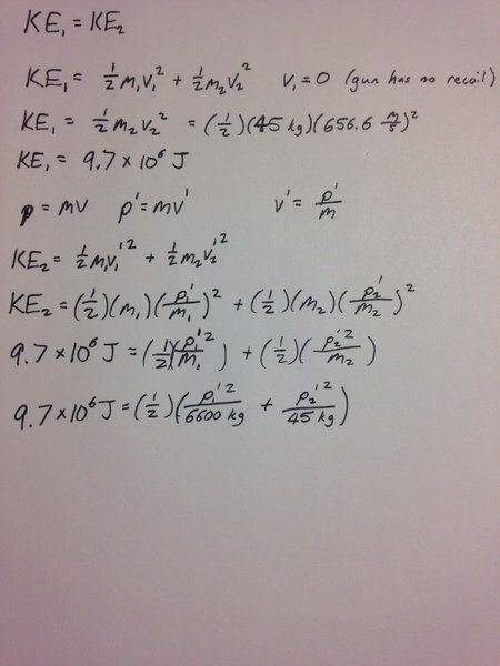
A projectile of 45kg has a muzzle speed of 656.6 m/s when fired horizontally from a gun held in rigid support (no recoil). What will be the muzzle speed (relative to the ground) of the same projectile when fired from a gun that is free to recoil? The mass of the gun is 6600 kg. (Hint: The kinetic energy of the gun-projectile system is the same in both cases.

Homework Equations


(Pictures below)
IMG_4684.JPG

IMG_4685.JPG

3. The Attempt at a Solution
image.jpg
 
Physics news on Phys.org
Calvin Pitts said:
View attachment 206793 View attachment 206794 1. Homework Statement
A projectile of 45kg has a muzzle speed of 656.6 m/s when fired horizontally from a gun held in rigid support (no recoil). What will be the muzzle speed (relative to the ground) of the same projectile when fired from a gun that is free to recoil? The mass of the gun is 6600 kg. (Hint: The kinetic energy of the gun-projectile system is the same in both cases.

Homework Equations


(Pictures below)View attachment 206793
View attachment 206794
3. The Attempt at a Solution
View attachment 206795
I'm not really sure if I'm on the right track or not...
 
One way to approach this is that the total momentum created by firing the weapon will be the same, whether there is recoil or not. The first situation is simpler and you can find out the value of this momentum
 
scottdave said:
One way to approach this is that the total momentum created by firing the weapon will be the same, whether there is recoil or not. The first situation is simpler and you can find out the value of this momentum
So would that be as simple as adding the momentums together and calling it the momentum of the system?
 
Yes, that will give you a second equation. Then you have 2 equations and two unknowns.
 
Image1499564269.615716.jpg


So that's where I'm at now...(ignore that first line at the top)
 
It looks to me like you are trying to conserve the momenta between the two scenarios... this is not what conservation of momentum means.

In the recoil-less scenario, momentum is not conserved because outside forces are exerted (to hold the gun in place). We don't need to find any variables in this case though, because all the information is given!

In the case with recoil, all forces are taken to be absent, so then the momentum of the gun+bullet will be the same before and after firing.
 
  • Like
Likes   Reactions: scottdave
I feel like that's similar to the very last line, p = p'. I didn't think of it in that extent, though.

I'm getting really confused with this system of equations. Maybe I've just had too much calculus and I've forgotten my algebra, but I keep getting some type of proof, like v(projectile) = v(projectile).
 
  • #10
Calvin Pitts said:
I feel like that's similar to the very last line, p = p'. I didn't think of it in that extent, though.
In that last line you are equating the net momentum of two different systems... why should they be equal??

Conservation of momentum is about comparing a single system at two different times (provided no outside forces act on the system... because that is the definition of force; the rate of change of momentum).


All the algebra in the world won't help if the physics isn't right.
 
  • Like
Likes   Reactions: scottdave and jbriggs444
  • #11
Now I'm really confused. Haha I may need someone to explicitly tell me what to do in this case cause I'm just getting super thrown off at this point :( I have no idea how I've been passing this class[emoji23]
 
  • #12
Calvin Pitts said:
Now I'm really confused. Haha I may need someone to explicitly tell me what to do in this case cause I'm just getting super thrown off at this point :( I have no idea how I've been passing this class[emoji23]
The mechanical energy supplied by the explosion of the gun-powder in the gun is the same in both scenarios. The momentum is conserved during the shot, but the system is the earth+gun+projectile in the first case, and the gun+projectile in the second case. You can use conservation of momentum in the second case (total momentum is the same before and after the shot) , and you get the energy of the system from the muzzle speed in the first case.
 
  • Like
Likes   Reactions: berkeman
  • #13
ehild said:
The mechanical energy supplied by the explosion of the gun-powder in the gun is the same in both scenarios. The momentum is conserved during the shot, but the system is the earth+gun+projectile in the first case, and the gun+projectile in the second case. You can use conservation of momentum in the second case (total momentum is the same before and after the shot) , and you get the energy of the system from the muzzle speed in the first case.

Image1499624231.412472.jpg


So far so good?
 
  • #14
ehild said:
You can use conservation of momentum in the second case (total momentum is the same before and after the shot) , and you get the energy of the system from the muzzle speed in the first case.
So wait, if the total momentum is the same before and after, wouldn't it just be zero? Because I thought the momentum before the shot would be zero because nothing is moving.
 
  • #15
Calvin Pitts said:
View attachment 206849

So far so good?
Yes. Now you write the relation between v1 and v2 using conservation of momentum. And yes, the total momentum is zero before the shot.
 
  • #16
Calvin Pitts said:
So wait, if the total momentum is the same before and after, wouldn't it just be zero? Because I thought the momentum before the shot would be zero because nothing is moving.
Correct, the sum before and after is zero. But remember that momentum is a vector quantity, having both magnitude and direction... :smile:

EDIT -- beaten out by ehild :smile:
 
  • #17
ehild said:
Yes. Now you write the relation between v1 and v2 using conservation of momentum. And yes, the total momentum is zero before the shot.

So then for the momentum after the collision, I would have an equation looking like:
m(sub1)v(sub1) = -m(sub2)v(sub2)

?
 
  • #18
Calvin Pitts said:
So then for the momentum after the collision, I would have an equation looking like:
m(sub1)v(sub1) = -m(sub2)v(sub2)

?
Yes. m1v1= -m2v2.
(Use x2 and x2 for subscript and superscript)
 
  • #19
So long story short, I think I finally figured out the answer (with much pain and agony). From that last equation you put in, I solved for v1, plugged that equation in the kinetic energy equation and solved for the new velocity of the projectile, which came out to be 655.7 m/s. Seems like a valid answer. I definitely won't try to type out the work because the app doesn't support the math functions, but should I post a picture of my ugly work? Haha just thinking for future people who might stumble across this thread or for myself to see later.
 
  • #20
Just post a picture of your work, ugly or not, it is useful. :smile:
 
  • #21
ehild said:
Just post a picture of your work, ugly or not, it is useful. :smile:

Image1499626728.168946.jpg


I'm rewriting it now so it's a little cleaner :) I also rounded off a bit for that first time. I'm simplifying the equation in terms of variables right now so I can just go straight through with no rounding. I came up with 654.4 m/s.
 
  • #22
Image1499627176.394317.jpg


Thanks to everyone for the help. I really like this little physics community :)
 
  • Like
Likes   Reactions: berkeman
  • #23
Calvin Pitts said:
View attachment 206851

I'm rewriting it now so it's a little cleaner :) I also rounded off a bit for that first time. I'm simplifying the equation in terms of variables right now so I can just go straight through with no rounding. I came up with 654.4 m/s.
The result is correct, although I can not follow your notations. Sooner or later you learn to type in the Maths.
Not bad for a first thread!

:welcome:
 
  • Like
Likes   Reactions: berkeman and Calvin Pitts
  • #24
ehild said:
The result is correct, although I can not follow your notations. Sooner or later you learn to type in the Maths.
Not bad for a first thread!

:welcome:

There's only so much math I can type. Haha I use the app which doesn't allow you to use a keyboard or click function. I have to type anything and everything. :(
 
  • #25
Hiero said:
In that last line you are equating the net momentum of two different systems... why should they be equal??

Conservation of momentum is about comparing a single system at two different times (provided no outside forces act on the system... because that is the definition of force; the rate of change of momentum).

All the algebra in the world won't help if the physics isn't right.
I like the way you presented it, showing that the first scenario is a different system (because of the external force). I think the way I read the question, and the way that I said it may have been misleading into suggesting that the momentum in the first situation is the same as the second situation, when in fact, the momentum before the explosion is the same as after the explosion.
 

Similar threads

  • · Replies 6 ·
Replies
6
Views
7K
Replies
4
Views
2K
Replies
40
Views
3K
  • · Replies 5 ·
Replies
5
Views
2K
  • · Replies 13 ·
Replies
13
Views
2K
  • · Replies 16 ·
Replies
16
Views
4K
  • · Replies 4 ·
Replies
4
Views
5K
  • · Replies 22 ·
Replies
22
Views
4K
  • · Replies 15 ·
Replies
15
Views
4K
  • · Replies 1 ·
Replies
1
Views
4K