Heat transfer coeffcient expression

Click For Summary

Homework Help Overview

The discussion revolves around deriving an expression for the convective heat transfer coefficient, particularly in the context of flow over an isothermal plate. Participants are exploring the relationship between conduction and convection in heat transfer, specifically within the thermal boundary layer.

Discussion Character

  • Conceptual clarification, Assumption checking, Mixed

Approaches and Questions Raised

  • Participants are attempting to understand how equations for conduction and convection can be combined to derive the heat transfer coefficient. Questions are raised about the logic behind this combination and the nature of heat transfer mechanisms at the wall.

Discussion Status

There is an ongoing exploration of the interplay between conduction and convection, with some participants providing insights into the nature of heat transfer in boundary layers. Multiple interpretations of the heat transfer processes are being discussed, particularly regarding the roles of conduction and convection.

Contextual Notes

Some participants express confusion regarding the assumptions made about heat transfer mechanisms, particularly in relation to fluid motion and boundary layer behavior. The discussion also touches on the implications of assuming constant heat transfer coefficients and boundary layer thickness in turbulent flow scenarios.

Sahil Dev
Messages
21
Reaction score
0

Homework Statement



Getting an expression for the convective heat tarnsfer coefficient.

Homework Equations


See attached images

The Attempt at a Solution


I have been reading about the boundary layers.

Here is an extract of my notes corresponding to thermal boundary layer and consequently my question.

Consider flow over an isothermal plate as shown in the figure.

flow_over_isothermal_plate.png


As seen in the figure above, at the leading edge, the temperature profile is uniform with T(y) = T∞. However, the fluid particles that come into contact with the plate, achieve thermal equilibrium at the plate’s surface temperature.
In turn, these particles exchange energy with those in the adjoining fluid layer and temperature gradients develop in the fluid. The region of the fluid in which these temperature gradients exist is the thermal boundary layer.
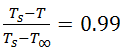
The thickness δst of the thermal boundary layer is typically defined as the value of y for which the ratio:
ratio.png


With increased distance from the leading edge, the effects heat transfer penetrates further into the free stream and the thermal boundary layer grows.
The relationship between the conditions in the boundary layer and the convection heat transfer coefficient may readily be demonstrated.
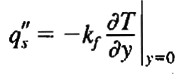
At any distance, ‘x’ from the leading edge, the local surface heat flux may be obtained by applying Fourier’s law to the fluid at y =0. That is;
qs_dd_1.png


This expression is appropriate because at the surface, there is no fluid motion and heat transfer occurs by conduction.
Recalling, the Newton’s law of cooling, we see that;
qs_dd_2.png


And combining this with the expression of conduction transfer as just above;

h.png


QUESTION:

1) I do not follow how the above equations: one corresponding to heat transfer through conduction) and the other corresponding to heat transfer through convection, can eb combned to give the heat transfer coefficient?
2) I do not see the logic in combining conductive and convective heat transfer related equations to give the heat trasnfer coefficient: h.

Please can anyone help?
 
Physics news on Phys.org
Sahil Dev said:

Homework Statement



Getting an expression for the convective heat tarnsfer coefficient.

Homework Equations


See attached images

The Attempt at a Solution


I have been reading about the boundary layers.

Here is an extract of my notes corresponding to thermal boundary layer and consequently my question.

Consider flow over an isothermal plate as shown in the figure.

View attachment 84992

As seen in the figure above, at the leading edge, the temperature profile is uniform with T(y) = T∞. However, the fluid particles that come into contact with the plate, achieve thermal equilibrium at the plate’s surface temperature.
In turn, these particles exchange energy with those in the adjoining fluid layer and temperature gradients develop in the fluid. The region of the fluid in which these temperature gradients exist is the thermal boundary layer.
The thickness δst of the thermal boundary layer is typically defined as the value of y for which the ratio:
View attachment 84993

With increased distance from the leading edge, the effects heat transfer penetrates further into the free stream and the thermal boundary layer grows.
The relationship between the conditions in the boundary layer and the convection heat transfer coefficient may readily be demonstrated.
At any distance, ‘x’ from the leading edge, the local surface heat flux may be obtained by applying Fourier’s law to the fluid at y =0. That is;
View attachment 84994

This expression is appropriate because at the surface, there is no fluid motion and heat transfer occurs by conduction.
Recalling, the Newton’s law of cooling, we see that;
View attachment 84995

And combining this with the expression of conduction transfer as just above;

View attachment 84996

QUESTION:

1) I do not follow how the above equations: one corresponding to heat transfer through conduction) and the other corresponding to heat transfer through convection, can eb combned to give the heat transfer coefficient?
2) I do not see the logic in combining conductive and convective heat transfer related equations to give the heat trasnfer coefficient: h.

Please can anyone help?
The sentence that seems to be causing some of your confusion is the following:

"This expression is appropriate because at the surface, there is no fluid motion and heat transfer occurs by conduction."

The reality of the situation is that, irrespective of whether the fluid is in motion and shearing, the heat flux at a distance y from the wall is always occurring exclusively by conduction, and the flux is given by:

$$q(y)=-k_f\frac{\partial T}{\partial y}$$

But, if you want the heat flux at the wall, you need to evaluate the partial derivative at y = 0.

Chet
 
Sorry for the late reply. I was concentarting on another subject during the past fw weeks.

1) How can you say :

The reality of the situation is that, irrespective whether the fluid is in motion and shearingm the ehat flux at a distance y from the wall is always occurring exclusively by conduction ?

The convection heat transfer mode is sustained both by random molecular motion and by the bulk motion of the fluid within the boundary layer. The contribution due to random molecular motion (diffusion / conduction) dominates near the surface where the fluid velocity is low. In fact, at the interface between the surface and the fluid the fluid velocity is zero, and heat is transferred by this (conduction) mechanism only.

The contribution due to bulk fluid motion originates rom the fact that the boundary layer grows as the flow progresses in the x- direction.

So, there is a heat transfer due to bulk fluid motion (advection) and conduction. I do not agrree wit you when yoiu say that the transfer is through pure conduction.

2) On further reading, I found that the convection heat transfer appears as a boundary condition in solution od conduction problems.


Consiuder the following problem;

example_2_4.gif
example_2_4.gif


We can solve the above as below;

example_2_4_soln.gif
example_2_4_soln.gif


We solve (1) aby appplying boundary conditions 2,3, 4

Theerfore convective heat tarnsfer is applied as a boundary condition in conduction problems.
 
In the example you cited, it is inherently assumed that the heat transfer coefficient is constant, the boundary layer thickness is constant, and the flow is turbulent. This certainly qualifies as convectively enhanced heat transfer. In the free stream turbulent flow, tiny hotter and colder parcels of fluid are intermittently brought in and out of contact with one another, which results in very rapid conductive thermal equilibration of the parcels. So, even here, conduction is a major part of what is happening.

In the example you cited in post #1, the flow regime appears to be laminar flow heat transfer over a flat plate. If the plate is hotter than the fluid, then as the fluid flows over the plate, colder outer layers of fluid are flowing faster than slower inner layers of fluid. This convective shear increases the vertical temperature gradients within the fluid in the y direction at all locations. This results in enhanced conductive heat flux in the y direction at all locations, both close to the wall and away from the wall. However, since the velocity gradients are greater near the wall, the enhancement in this region is more effective. In any event, vertical conduction is occurring in the y direction at all y locations, but this is enhancement is associated with sharpening of the temperature gradients as a result of the shear flow.

Hope this helps.

Chet
 

Similar threads

Replies
1
Views
6K
  • · Replies 6 ·
Replies
6
Views
3K
  • · Replies 4 ·
Replies
4
Views
3K
  • · Replies 2 ·
Replies
2
Views
4K
  • · Replies 14 ·
Replies
14
Views
5K
Replies
10
Views
3K
  • · Replies 4 ·
Replies
4
Views
2K
  • · Replies 5 ·
Replies
5
Views
2K
Replies
7
Views
2K
  • · Replies 6 ·
Replies
6
Views
2K