Height of the image of my friend on the film

  • Thread starter Thread starter syllll_213
  • Start date Start date
  • Tags Tags
    Lenses
Click For Summary
SUMMARY

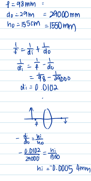
The discussion centers on the calculation of the height of an image based on a distance of 29 meters. The initial conversion of 29 meters to millimeters was incorrectly executed, leading to an erroneous height of 0.054 mm. Participants emphasized the importance of accurate unit conversion and the need to verify the calculation of the image distance, denoted as ##d_i##, to ensure correct results.

PREREQUISITES
  • Understanding of unit conversions (meters to millimeters)
  • Familiarity with image formation concepts in optics
  • Basic knowledge of mathematical calculations involving distances
  • Experience with formulas related to image height and distance
NEXT STEPS
  • Review the principles of optics related to image formation
  • Practice unit conversion techniques, specifically from meters to millimeters
  • Learn about the calculation of image distances in optical systems
  • Explore common errors in mathematical calculations and how to avoid them
USEFUL FOR

Students studying optics, physics enthusiasts, and anyone involved in image processing or photography who needs to understand image height calculations and unit conversions.

syllll_213
Messages
17
Reaction score
1
Homework Statement
You have a movie camera with a single lens of focal length 98 mm. You would like to take a picture of a friend who is standing 29 m away. Your friend is 155 cm tall, what is the height of the image of your friend on the film in mm?
Relevant Equations
1/f+1/di+1/do
1744710442452.png

Hi, I just want to check if my working is correct cuz I seems to get the wrong answer in my first attempt by inserting 0.054mm as the heigh.... the height seems a bit small to me.
 
Physics news on Phys.org
Check again your conversion of the 29 m distance into cm.
And make sure you get the distance image in the last step.
 
nasu said:
Check again your conversion of the 29 m distance into cm.
All conversions were to mm.
syllll_213 said:
Check your calculation of ##d_i##. There is something you forgot to do.
 
  • Like
Likes   Reactions: nasu

Similar threads

  • · Replies 11 ·
Replies
11
Views
2K
  • · Replies 2 ·
Replies
2
Views
2K
Replies
1
Views
2K
  • · Replies 2 ·
Replies
2
Views
2K
  • · Replies 15 ·
Replies
15
Views
1K
  • · Replies 30 ·
2
Replies
30
Views
3K
  • · Replies 3 ·
Replies
3
Views
4K
  • · Replies 32 ·
2
Replies
32
Views
4K
  • · Replies 3 ·
Replies
3
Views
1K
  • · Replies 2 ·
Replies
2
Views
2K