Help simplifying this algebraic expression please

Click For Summary

Homework Help Overview

The discussion revolves around simplifying algebraic expressions, specifically focusing on operations involving exponents and constants. Participants are attempting to clarify their approaches to manipulating these expressions correctly.

Discussion Character

  • Exploratory, Conceptual clarification, Mathematical reasoning

Approaches and Questions Raised

  • Participants are discussing their attempts to simplify expressions, questioning the correctness of their methods, and seeking clarification on specific algebraic rules, such as the treatment of constants and exponents.

Discussion Status

Some participants have provided guidance on the correct application of algebraic principles, while others are exploring different interpretations of their calculations. There is an ongoing exchange of ideas without a clear consensus on the best approach.

Contextual Notes

Participants are grappling with the implications of exponent rules and the simplification of terms, with specific focus on the treatment of constants and the expansion of expressions.

homeworkhelpls
Messages
41
Reaction score
1
Misplaced Homework Thread moved from the technical forums
1665176267896.png
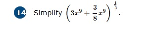
14) here i tried 3x^3 + 3/8x^3 to to get 27/8x^3 but the answer is 3/2 x^3, why?
1665176428590.png
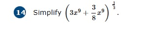
15) here i did 9x^3/2 - 1/x^3/2 to get 9x^9/4 - 1/x^3/2 but that's not in the right form, how do i do it correctly?
 
Physics news on Phys.org
homeworkhelpls said:
View attachment 31519414) here i tried 3x^3 + 3/8x^3 to to get 27/8x^3 but the answer is 3/2 x^3, why?
Did you take the cube root of the constant multiplier?
homeworkhelpls said:
View attachment 31519615) here i did 9x^3/2 - 1/x^3/2 to get 9x^9/4 - 1/x^3/2 but that's not in the right form, how do i do it correctly?
That is not correct. You can not simply square the individual terms. Do you know what the general result of ##(a-b)^2## is? Multiply out the square to see what is right.
 
ok then for 15 i expanded the brackets and got 9x^3/2 -3x^0 - 3x^0 + x^-3/2, I am confused if -3x^0 is equal to -3 or 1, please explain
 
Last edited:
FactChecker said:
Did you take the cube root of the constant multiplier?

That is not correct. You can not simply square the individual terms. Do you know what the general result of ##(a-b)^2## is? Multiply out the square to see what is right.
and for 14 i got it now after doing 3 x by cubed root of 3 x by x^3 all over 2 to get 3/2 x^3, thanks :)
 
homeworkhelpls said:
ok then for 15 i expanded the brackets and got 9x^3/2 -3x^0 - 3x^0 + x^-3/2, I am confused if -3x^0 is equal to -3 or 1, please explain
A product of both. ##-3x^0 = -3 \cdot x^0 = -3 \cdot 1 = -3##
 
  • Informative
Likes   Reactions: homeworkhelpls

Similar threads

  • · Replies 2 ·
Replies
2
Views
2K
  • · Replies 6 ·
Replies
6
Views
2K
Replies
4
Views
2K
  • · Replies 21 ·
Replies
21
Views
2K
  • · Replies 2 ·
Replies
2
Views
2K
  • · Replies 7 ·
Replies
7
Views
2K
Replies
21
Views
4K
Replies
1
Views
2K
  • · Replies 17 ·
Replies
17
Views
3K
  • · Replies 22 ·
Replies
22
Views
6K