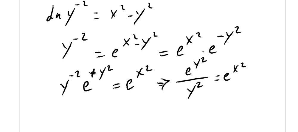
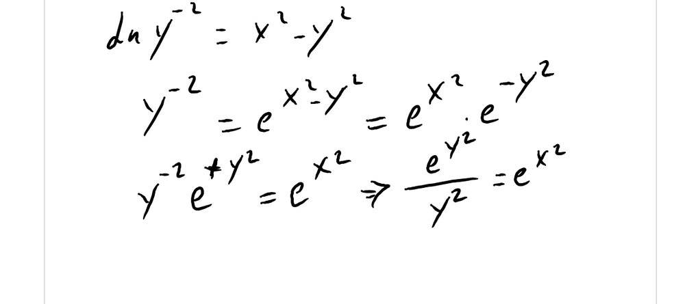
Help solving this equation please: y^2-2ln(y)=x^2
- Thread starter majdgh
- Start date
Click For Summary
Homework Help Overview
The discussion revolves around solving the equation y^2 - 2ln(y) = x^2, with participants seeking to express y in terms of x. The problem involves concepts from algebra and logarithmic functions.
Discussion Character
- Exploratory, Conceptual clarification, Mathematical reasoning
Approaches and Questions Raised
- Participants discuss the possibility of simplifying the equation through variable substitution and explore the implications of expressing y in terms of x. Some mention the Lambert W function as a potential method for expressing solutions.
Discussion Status
The conversation includes various perspectives on the nature of the solution, with some participants suggesting that while a closed form may not exist, there are ways to express y in terms of x using the Lambert W function. There is an ongoing exploration of the relationship between x and y, with no explicit consensus reached.
Contextual Notes
Participants note the constraints of the problem, including the requirement for prior efforts before receiving help and the implications of the logarithmic function when considering negative values of y.
Similar threads
- · Replies 26 ·
- · Replies 8 ·
- · Replies 17 ·
- · Replies 1 ·
- · Replies 18 ·
- · Replies 3 ·
- · Replies 5 ·
