Help to understand polytropic exponent and efficiency

Click For Summary

Discussion Overview

The discussion revolves around understanding the polytropic exponent and its implications for efficiency in thermodynamic processes involving turbines and compressors. Participants explore the differences between polytropic and isentropic processes, particularly in the context of work calculations and heat transfer during compression and expansion of air.

Discussion Character

  • Exploratory
  • Technical explanation
  • Conceptual clarification
  • Debate/contested

Main Points Raised

  • One participant questions whether the polytropic equation accounts for heat losses compared to the isentropic equation, noting that using isentropic efficiency yields a higher work value due to irreversibilities.
  • Another participant explains that a polytropic process assumes a constant ratio of work to heat transfer during compression/expansion, but expresses skepticism about the constancy of this ratio in practical scenarios.
  • A different participant clarifies that in a polytropic process, heat is exchanged with the surroundings, contrasting it with adiabatic processes where no heat exchange occurs, suggesting that heat transfer must be considered in efficiency analyses.
  • The original poster reflects on approximating work done for an isentropic process and correcting it using isentropic efficiency, while also considering the implications of heat transfer from the environment during expansion.
  • There is a discussion about whether the energy transferred from the environment during expansion should be considered "free" energy in the context of primary energy efficiency calculations.

Areas of Agreement / Disagreement

Participants express differing views on the implications of using the polytropic exponent versus the specific heat ratio, with no consensus reached on the best approach for calculating efficiencies or the treatment of heat transfer in these processes.

Contextual Notes

Participants acknowledge the complexity of real-world applications and the potential variability in conditions affecting the polytropic process, suggesting that assumptions made in calculations may not hold universally.

Sorade
Messages
53
Reaction score
1
Hello all,

I am new to thermodynamics applied to turbines and compressors and I am trying to get my head around what is represented when calculating the work of a compression/expansion process using the polytropic exponent as oppose to the specific heat ratio of 1.4 (I'm working with air).

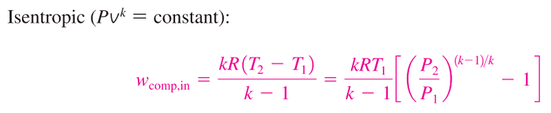
The attached image ( from Çengel, Y. a. (2004). Thermodynamics: An Engineering Approach. McGraw-Hill.)

Shows the equations for polytropic compression.
Polytropic_eq.PNG

So I have two questions:
1) is the polytropic equation taking into account any heat losses compared to the following isentropic equation:
Isentropic_eq.PNG

At the moment I am using the isentropic formulae and dividing it by the isentropic effciency which gives me a work value slightly higher accounting for irreversibilities.

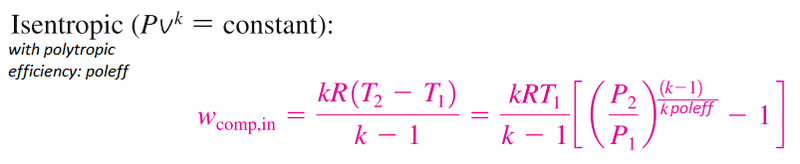
2) What is the difference between using the polytropic exponent, n. Like in the first equation. And using the polytropic efficiency as below:
Poleff_eq.png

The reason I am asking is because using the polytropic exponent, n gives me greater efficiencies for my compression and expansion system than the ratio of specific heats, k. i.e lower compressor work and greater turbine work. Which I wouldn't expect if the polytopic exponent accounted for losses.

Thank you for your help.
 
Engineering news on Phys.org
Sorade said:
... I have two questions:
1) is the polytropic equation taking into account any heat losses compared to the following isentropic equation:View attachment 99520
At the moment I am using the isentropic formulae and dividing it by the isentropic effciency which gives me a work value slightly higher accounting for irreversibilities.

2) What is the difference between using the polytropic exponent, n. Like in the first equation. And using the polytropic efficiency as below:
View attachment 99521
The reason I am asking is because using the polytropic exponent, n gives me greater efficiencies for my compression and expansion system than the ratio of specific heats, k. i.e lower compressor work and greater turbine work. Which I wouldn't expect if the polytopic exponent accounted for losses.

Thank you for your help.

To part 1, a polytropic process assumes that during compression/expansion, the ratio of work being done to heat being transferred is a constant. One example is when air is compressed in an engine's cylinder. There is work being done on the gas, and as it heats up, it transfers heat out of the cylinder. The P-V diagram typically suggests a polytropic expansion coefficient of 1.3. The catch (in my mind) is that it's doubtful that the ratio of work to heat is constant - the cylinder walls here could be hotter than the air at one point in time, and cooler at another. I haven't given much thought about what conditions would actually cause a truly constant value of n, but I suspect they are rare.

I can't say much about part 2, as I haven't thought through a comparison of the two methods you described.
 
In a polytropic process, heat is being exchanged with the surroundings in such a manner that the exponent n remains constant. In an adiabatic reversible process, no heat is exchanged with the surroundings. So, in a polytropic process, you need to determine Q, the heat transferred to the system, and take that into account in your efficiency analysis.
 
Thank you both for your replies. Since my system is being greatly approximated I might just work out the work done for an isentropic process and correct it by using an isentropic efficiency value.

EDIT:

@Chestermiller , I was thinking a bit more about what you said. In my situation, I know the electrical energy needed to compress a gas, the fuel needed for heating prior to expansion, and the electrical energy produced when releasing the gas through a turbine (I assume that the generator can convert the mechanical energy with 100%). During expansion, if heat is transferred from the environment to the gas (making the process polytropic) then shouldn't I consider this energy to be "free" as it will mean that I won't have to heat up my gas as much prior to expanding it ? And therefore, should it really be included in my system primary energy efficiency (PE) or should I do something like PE = (Wout_electric) / ((Win_electric/PE_CCGT)+Fuel_energy)
 
Last edited:
  • Like
Likes   Reactions: Randy Beikmann

Similar threads

Replies
1
Views
7K
  • · Replies 6 ·
Replies
6
Views
4K
  • · Replies 6 ·
Replies
6
Views
32K
Replies
8
Views
3K
Replies
5
Views
3K
Replies
1
Views
17K
  • · Replies 9 ·
Replies
9
Views
3K
  • · Replies 14 ·
Replies
14
Views
2K
  • · Replies 20 ·
Replies
20
Views
5K
  • · Replies 11 ·
Replies
11
Views
3K