Help understanding torques and moments

Click For Summary

Homework Help Overview

The discussion revolves around understanding the period of small oscillations in a system involving torques and moments of inertia. Participants are trying to clarify the setup and the forces at play, particularly in relation to a diagram that is not fully described.

Discussion Character

  • Exploratory, Assumption checking, Problem interpretation

Approaches and Questions Raised

  • Participants are attempting to understand the total moment of inertia of the system and question the representation of forces and tensions in the equations provided. There is confusion regarding the diagram and the axis of rotation, with some participants seeking clarification on the physical setup and the direction of oscillations.

Discussion Status

The discussion is ongoing, with participants actively questioning the assumptions about the diagram and the mechanics involved. Some have offered insights into the nature of the oscillations and the contributions to the moment of inertia, while others are still seeking clarification on the setup.

Contextual Notes

There is mention of a diagram that lacks a textual description, leading to uncertainty about the axis of rotation and the forces involved. Participants are also considering the implications of the central circle's attachment to the bar and its effect on oscillation behavior.

doktorwho
Messages
181
Reaction score
6

Homework Statement


1.JPG

Find the period of small oscillation of this system.

Homework Equations


3. The Attempt at a Solution
2.JPG
[/B]
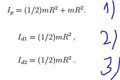
I understand the concept of moment of inertia but can't comprehend the first equaion here. The other two i get and they are moments of inertia of other two bodies. (the left and right)
3.JPG

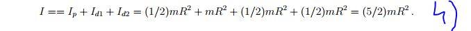
This is supposed to be the total moment of inertia of the system, right?
Now what's left out from the pictures is that the tensions are:
##T_1=mg-maR## and ##T_2=mg+maR##
and so its continued like this:
4.JPG

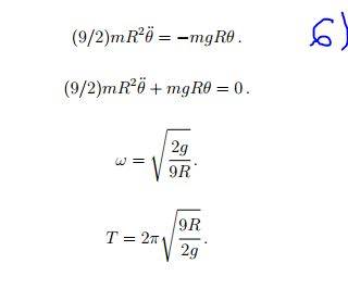
The moment is ##M=F*R## but i fail to see what the first term represents and what's with the signs?
The last part is:
5.JPG
 
Physics news on Phys.org
I do not understand the diagram. Is there a text description of it?
Where is the axis, and in what direction (e.g. normal to the page)?
The two rectangular blocks look like drums seen side on, with strings wrapped around them, with weights suspended. If so, I presume the weights oppose each other.
 
haruspex said:
I do not understand the diagram. Is there a text description of it?
Where is the axis, and in what direction (e.g. normal to the page)?
The two rectangular blocks look like drums seen side on, with strings wrapped around them, with weights suspended. If so, I presume the weights oppose each other.
Yes i think your correct, the weghts oppose each other as the string is rolled on the other way on one of the drums. They oscilate when one is pulled.
 
doktorwho said:
Yes i think your correct, the weghts oppose each other as the string is rolled on the other way on one of the drums. They oscilate when one is pulled.
That suggests the axis is the horizontal bar, but in that case I see no reason for oscillations. If you set it rotating around that bar then it should just keep going at the same rate. All the forces balance.
It looks like there must be some oscillation about an axis normal to the page, probably through the centre of the circle (disc, cylinder, sphere?) or through its highest or lowest point. Depends partly on whether the horizontal bar is is just resting on the circle or fixed to it. Since we are given the mass of it, I guess it is about the centre.

Looking at the first three equations, it seems that the discs at the side are rotating about their centres, so the horizontal bar is the axis. The only way I can then make sense of the Ip term is to say that the central circle has been drawn wrongly. It should be another disc viewed side on..
Summing these as the total moment of inertia about that axis is also wrong. Each suspended mass should contribute mR2.

Is there no text with this diagram?
 
haruspex said:
I see no reason for oscillations.
... there is if we take the central circle as a body rigidly attached to the bar, so it swings like a pendulum.

Continuing that thought...
If the circle indeed is a disc as shown, swinging under the axis, its moment of inertia is mR2+mR2/4.
 

Similar threads

Replies
3
Views
2K
Replies
25
Views
2K
  • · Replies 9 ·
Replies
9
Views
2K
Replies
8
Views
15K
Replies
7
Views
2K
Replies
13
Views
2K
  • · Replies 9 ·
Replies
9
Views
7K
  • · Replies 18 ·
Replies
18
Views
7K
  • · Replies 7 ·
Replies
7
Views
2K
  • · Replies 10 ·
Replies
10
Views
2K