Help with Quantum Mechanics Homework

  • Thread starter Thread starter andyc10
  • Start date Start date
  • Tags Tags
    Quantum
Click For Summary

Homework Help Overview

The discussion revolves around a quantum mechanics homework problem involving the time-independent and time-dependent Schrödinger equations, as well as the calculation of probability density for a superposition of quantum states. The original poster expresses difficulty with the problem's complexity compared to previous questions.

Discussion Character

  • Exploratory, Conceptual clarification, Mathematical reasoning

Approaches and Questions Raised

  • The original poster attempts to apply the time-dependent Schrödinger equation to a wavefunction but questions the correctness of their approach due to dimensional inconsistencies. They also express uncertainty about the integration of probability density.
  • Some participants suggest verifying the manipulation of equations and clarify the purpose of the problem, indicating that it involves oscillating probability density.
  • Others point out potential missing elements in the original poster's equations, such as constants that may affect the calculations.

Discussion Status

The discussion is ongoing, with participants providing insights and clarifications regarding the setup of the equations and the nature of the problem. There is a focus on understanding the implications of the wavefunction combination and its relation to classical oscillation, but no consensus has been reached on the specific steps to take next.

Contextual Notes

The problem appears to require a deeper understanding of quantum mechanics concepts, particularly regarding superposition and probability density, and the original poster is navigating through the complexities of these ideas.

andyc10
Messages
5
Reaction score
0

Homework Statement



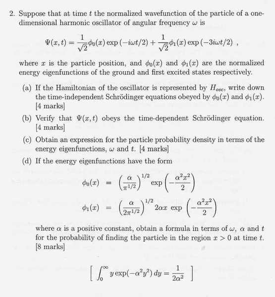
Below is a past paper question from a paper i am working through in preperation for my exams. I am having particular trouble with this question, it doesn't seem as straight forward and formulated as other questions. I am unsure if anything i have done is right so any help would be great.
b4ygc9.jpg



Homework Equations



(a)
8d47fe85839e9bf519d56ef5336ef228.png



Time independent equation
6cf16270fbb803cb3cfdff9b9e65a9aa.png


(b)
Time dependent Schrödinger
79fc4fe13df6d6c57d48c7185f79c12e.png


(c)
probability Density [tex]=\left|\psi(x,t)\right|^{2}[/tex]


The Attempt at a Solution



a)

[tex]H_{osc}\phi_{0}(x)=E\phi_{0}(x)[/tex]

[tex]\\\\H_{osc}\phi_{1}(x)=E\phi_{1}(x)[/tex]


b)

I tried simply putting the wavefunction into the Time dependent Schrödinger equation and differentiating. This mustnt be the way since there is an m on the LHS.

c)

probability Density

[tex]\left|\psi(x,t)\right|^{2}=1/2[\phi^{2}_{0}+\phi^{2}_{1}+\phi^{*}_{0}\phi_{1}exp(-i\omega t)+\phi^{*}_{1}\phi_{0}exp(i\omega t)][/tex]

d)

[tex]\int^{\infty}_{0}\left|\psi(x,t)\right|^{2}dx=1/2\int^{\infty}_{0}[\phi^{2}_{0}+\phi^{2}_{1}+\phi^{*}_{0}\phi_{1}exp(-i\omega t)+\phi^{*}_{1}\phi_{0}exp(i\omega t)]dx[/tex]

^ This doesn't work out too well
 
Physics news on Phys.org
The purpose of this problem is to show that the given combination of wave functions gives you an oscillating probability density going back and forth at the classical frequency. I don't have time to go through all your equations at the moment but item b, for one, ought to work out the way you've set it up. I think the dimensions are consistent between the LHS and the RHS.
 
Your time-dependent Schroedinger equation appears to be missing a hbar on the left, and a hbar squared in front of the partial derivative on the right...
 
Thanks, Matterwave. Good of you to notice that.

I wanted to elaborate on my previous answer a bit: the first three parts of the question are just verifying that you know how to correctly manipulate the formulas for these things, and you seem to be OK. The final part, where you actually have to calculate probabilities, is where you get to see some interesting physics. The combination of states chosen here is actually the very simplest manifestation of a classical type of oscillation using a superposition of quantum states. The quantum states are stationary and have the same likelihood of being anywhere for all time. This particular superposition oscillates back and forth at the classical frequency. What they might have asked you to do is calculate the center of mass of the system, or the x expectation: but they actually ask for something a little different, which is the time spent in the Right Hand Side. Perhaps they're doing you a favor by giving you an easier integration...I'm not sure. But you do appear to have set up the integral correctly. The time-independent terms integrate out to 1/2, because the particle spends half the time in the RHS. The cross terms give you the time dependent oscillation. So you should get the right answer if you can execute the integration...good luck.
 

Similar threads

Replies
2
Views
2K
  • · Replies 1 ·
Replies
1
Views
2K
  • · Replies 12 ·
Replies
12
Views
2K
  • · Replies 4 ·
Replies
4
Views
3K
Replies
5
Views
4K
Replies
11
Views
3K
  • · Replies 4 ·
Replies
4
Views
2K
  • · Replies 6 ·
Replies
6
Views
4K
  • · Replies 1 ·
Replies
1
Views
7K
Replies
24
Views
3K