Help With Summation: Identifying Common Mistakes

  • Thread starter Thread starter NIZBIT
  • Start date Start date
  • Tags Tags
    Summation
Click For Summary

Homework Help Overview

The discussion revolves around the challenges faced in understanding and applying summation concepts and properties, particularly in the context of algebraic manipulation. Participants are exploring the nuances of summation notation and the appropriate circumstances for using specific summation formulas.

Discussion Character

  • Conceptual clarification, Assumption checking, Mathematical reasoning

Approaches and Questions Raised

  • Participants discuss the difficulties in applying summation formulas correctly and question the validity of their algebraic manipulations. There is an exploration of when it is appropriate to use certain summation properties and formulas.

Discussion Status

Some participants have provided guidance on the correct interpretation of summation notation and the limitations of applying formulas. There is an acknowledgment of the need for careful justification of each step in the manipulation of sums, with a focus on understanding the underlying principles rather than solely relying on formulas.

Contextual Notes

There is a noted lack of clarity from educational resources regarding when specific summation formulas can be applied, which appears to contribute to the original poster's confusion and mistakes.

NIZBIT
Messages
69
Reaction score
0
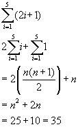
This stuff is making me bang my head against the wall. I understand the concept and notation of summation with no problems. It seems though for about every one problem I get right there is five I get wrong. The only thing I can think I'm doing wrong is bad algebra habits or I'm using the summation properties and formulas at wrong times. I know I could work these problems the long way, but I'm missing the point of the lesson. Could someone please let me know what I'm doing wrong? Here is one I got right:
right.gif


Here is one I got wrong:
wrong.gif
 
Physics news on Phys.org
Sums don't distribute over quotients like that. Expanding the sum, you have:

[tex]\sum_{k=0}^{4}\frac{1}{k^2+1}=\frac{1}{1}+\frac{1}{2}+\frac{1}{5}+\frac{1}{10}+\frac{1}{17}[/tex]

which you tried to replace with:

[tex]\frac{1+1+1+1+1}{1+2+5+10+17}[/tex]

which I'm sure you know isn't true. You know that the [tex]\sum[/tex] symbol is just a short hand notation for a sum so keep in mind the familiar old rules when manipulating these summation symbols.
 
Just to add to what shmoe said, you do not manipulate [itex]\Sigma[/itex] like another term, it simply means 'sum of'. The process you need to go through is substitute in every integer value in between your defined limits for you variable, which in this case is k, so your sum becomes;

[tex]\sum_{k=0}^{4}\frac{1}{k^2+1}= \frac{1}{0^2 + 1} +\frac{1}{1^2 + 1}+\frac{1}{2^2 + 1}+\frac{1}{3^2 + 1}+\frac{1}{4^2 + 1}[/tex]

~H
 
I understand how summation works. I can get the the answers right by evaluating it the "long way" by starting at zero and ending at 4 just like the both of you did. Don't have any problems with that, but that s not how I'm supposed to figure them out. I'm supposed to apply the summation formulas to solve these problems.
 
Last edited:
What formula are you trying to apply?

~H
 
[tex]\sum_{i=0}^{n}\{c}=cn[/tex]
[tex]\sum_{i=0}^{n}\{i^2}=\frac{n(n+1)(2n+1)}{6}[/tex]


I'm using these.
 
You aren't going to be able to express [itex]\sum_{k=0}^4\frac{1}{k^2+1}[/itex] in terms of power sums (i.e. [itex]\sum 1[/itex], [itex]\sum i[/itex], [itex]\sum i^2[/itex], etc.).

There aren't always nice formulas you can use on a given sum, somethimes you will have to resort to approximations, or just doing it the 'long way'. In this case 'the long way' isn't very long at all.
 
So how I am I supposed to know when I can use the formulas or not? Neither my teacher nor the book states such :confused: :cry: . I think this might be the problem I'm having. It would also explain why I'm getting so few right. Both the book and my teacher led me to believe that I can use those forumals to solve ANY problem.
 
You use the formulas when the summand (the expression in the sum) is one of those that appears in one of the formulas.

As was noted before, it was the fact that you decided that it was OK to do

[tex]\sum \frac{1}{k} = \frac{1}{\sum k}[/tex]

and that is something that you know isn't true from the first day you met addition of fractions, not a great deal to do with misapplying a formula.

[tex]\sum (a_n+b_n) = \sum a_n + \sum b_n[/tex]

is fine, but you can't just reorder all algebraic operations can you?
 
Last edited:
  • #10
Well, practice.

You also have to be much more careful about what manipulations you are allowed to do on sums. Go back and look at the various rules you have and try to justify any step you make in terms of these. You tried to do something like:

[tex]\sum_{k}\frac{a_k}{b_k}=\frac{\sum_{k}a_k}{\sum_{k}b_k}[/tex]

Which is not a rule you have (and very false in general)!

So, justify each step very carefully when trying to simplify these sums. You won't always be able to manipulate a given sum into a form where you can use your given formulas (it's just not always possible), but you should try harder to avoid making making algebraic manipulation errors.
 
  • #11
I see where I have not been true to form. Guess I was paying too much attention to sigma and not the algebra. Thanks for the help and understanding.
 

Similar threads

  • · Replies 6 ·
Replies
6
Views
2K
  • · Replies 10 ·
Replies
10
Views
2K
  • · Replies 5 ·
Replies
5
Views
2K
Replies
5
Views
2K
  • · Replies 1 ·
Replies
1
Views
16K
  • · Replies 2 ·
Replies
2
Views
3K
  • · Replies 8 ·
Replies
8
Views
4K
Replies
10
Views
2K
Replies
3
Views
3K
Replies
8
Views
2K