Help with the derivative of the Dirac delta

Click For Summary

Homework Help Overview

The discussion revolves around the derivative of the Dirac delta function, particularly in the context of renormalization and its implications in mathematical physics. Participants are examining the properties of the Dirac delta function, especially regarding its square and its role as a distribution.

Discussion Character

  • Conceptual clarification, Assumption checking, Exploratory

Approaches and Questions Raised

  • Participants are exploring the implications of assuming \(\delta(r_2 - r_1)^2 = 0\) and questioning the validity of this assumption. There is also a discussion about the nature of the Dirac delta as a distribution and whether the square of the delta function is defined. Some participants suggest alternative approaches, such as using complex coordinates and holomorphic functions.

Discussion Status

The discussion is ongoing, with participants raising questions about the definitions and properties of the Dirac delta function. Some guidance has been offered regarding the use of LaTeX for clarity, and there is an acknowledgment of the complexity and potential confusion in the original poster's presentation of the equations.

Contextual Notes

There are indications of missing information regarding the equations referenced, and some participants express frustration over the incomplete nature of the original post. The original poster's references to specific equations and their relationships are not fully clear, which may hinder the discussion.

Delerion24
Messages
1
Reaction score
0
Homework Statement
Try developed this expression
Relevant Equations
The equations are in the images
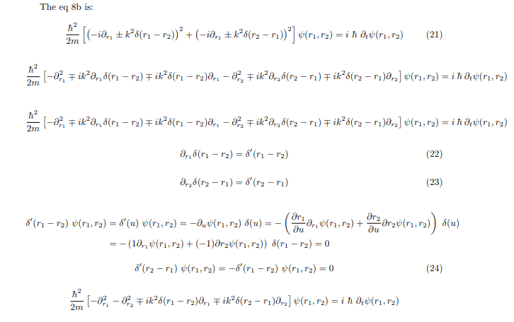
Desarrollo 8b parte 1.PNG
Desarrollo 8b parte 2.PNG


My goal is to develop the equation 21. You should asume that \delta(r_2-r_1)^2 =0. These is named renormalization. Then my question is , do my computes are correct with previous condition ?
 
Physics news on Phys.org
@Delerion24 -- Please make it a habit to post your work at PF using LaTeX, not via images. You can click on the "LaTeX Guide" link below the Edit window for our LaTeX tutorial. What software did you use to write the equations in your image? Perhaps it is easy to port your work to LaTeX and add that as a reply? Thanks.
 
  • Like
Likes   Reactions: Wrichik Basu, topsquark and robphy
I guess this is a Distributional derivative, or there's something else I'm not aware of here? I mean, are we referring to the Dirac delta Distribution. i.e., Generalized function?
 
Delerion24 said:
Homework Statement: Try developed this expression
Relevant Equations: The equations are in the images

View attachment 314422View attachment 314423

My goal is to develop the equation 21. You should asume that \delta(r_2-r_1)^2 =0. These is named renormalization.
No, the square of a delta distribution is undefined.
Where did your eq(21) come from? You say that it "is" (8b). But then later you say that eq(26) is 8b. Then you say "9 isn't 2", which I guess refers to other equations you haven't shown.

It's very hard to help when you all you show us is a mis-sequenced, incomplete, mess. :headbang:
 
  • Like
Likes   Reactions: vanhees71
I just started reading about holomorphic functions, maybe switch to complex coordinates and integrate around a contour. If you expand your Schrödinger equation correctly, then you should just see the wave function with a time evolution operator, like a decaying exponential tacked on the side. Let me think about this one.
 

Similar threads

Replies
0
Views
2K
Replies
5
Views
4K
Replies
4
Views
2K
  • · Replies 17 ·
Replies
17
Views
3K
  • · Replies 3 ·
Replies
3
Views
3K
  • · Replies 5 ·
Replies
5
Views
4K
Replies
8
Views
2K
  • · Replies 9 ·
Replies
9
Views
4K
  • · Replies 25 ·
Replies
25
Views
4K
  • · Replies 2 ·
Replies
2
Views
3K