How do I expand Reynold's transport theorem using the given equation?

  • Thread starter Thread starter kev931210
  • Start date Start date
  • Tags Tags
    Theorem Transport
Click For Summary

Homework Help Overview

The discussion revolves around expanding Reynold's transport theorem using a specific equation in a one-dimensional context. Participants are exploring the mathematical intricacies involved in this theorem, particularly focusing on the relationships between various functions and their derivatives.

Discussion Character

  • Exploratory, Mathematical reasoning, Assumption checking

Approaches and Questions Raised

  • Participants discuss attempts to manipulate equations and substitute variables, questioning how to simplify expressions involving functions of both position and time. There are inquiries about potential mathematical tricks or physical theories that could aid in the derivation process.

Discussion Status

Some participants have provided guidance on substitutions and transformations, while others express confusion about the complexity of the functions involved. There appears to be a collaborative effort to clarify the steps needed to progress further in the problem.

Contextual Notes

Participants mention challenges related to the dependencies of functions on multiple variables and the difficulty of simplification. There is also a reference to a lack of familiarity with certain mathematical tools, such as LaTeX, which may hinder communication of ideas.

kev931210
Messages
15
Reaction score
0

Homework Statement


cap2.PNG


Homework Equations


one dimensional Reynold's transport theorem
upload_2016-4-26_13-33-18.png

The Attempt at a Solution



upload_2016-4-26_13-33-49.png
[/B]

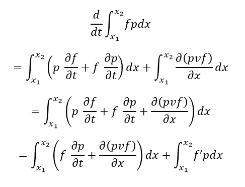
I started with this equation, and tried to expand it using the equation given in #2.

upload_2016-4-26_13-46-13.png


This is the farthest I have gotten so far. I got stuck from here. I do not know how to get from the shaded equation to the equation below.
upload_2016-4-26_13-42-33.png


Can anyone help please?
 
Physics news on Phys.org
help please .. I just want to pass (and learn) :cry:
 
helpppppppppppppppppppppppppppppppppppppppppppppppppppppppppppppppppppppppppppppppppppppppppppppppppppppppppppppppppppppppppppppppppppppppppppppppppppppppppppppppppppppppppppppppppppppppppppppppppppppppppppppppppppppppppppppppppppppppppppppppppp
 
Substitute ##v_1=\frac{dx_1}{dt}## and ##v_2=\frac{dx_2}{dt}## into your second equation. What does that give you? Incidentally, the ##f\rho##'s in this equation should be evaluated at 1 and 2.
 
  • Like
Likes   Reactions: kev931210
cap5.PNG


Sorry, there was some typo in my question. So, I ended up with the above equation using your advice, but it doesn't seem to get me any further. Both f and p are functions of (x,t), so it's hard for me to simplify easily. Is there any relation that can let me convert the above equation to the below equation?

cap5.PNG
 

Attachments

  • cap5.PNG
    cap5.PNG
    5.4 KB · Views: 486
Maybe it would help if I wrote your expression using LateX, which you should learn from the PF tutorial:

$$\int_{x_1}^{x_2}{\left(\rho\frac{\partial f}{\partial t}+f\frac{\partial \rho}{\partial t}\right)dx}+(\rho v f)_{x_2}-(\rho vf)_{x_1}$$

Does this give you any ideas?
 
  • Like
Likes   Reactions: kev931210
No .. sorry I'm not an advanced student in Physics. Is there any physics theory or mathematical trick I can use from that point? I have no clue what to do from that point. I was stuck there for long time.
 
kev931210 said:
No .. sorry I'm not an advanced student in Physics. Is there any physics theory or mathematical trick I can use from that point? I have no clue what to do from that point. I was stuck there for long time.
$$(\rho v f)_{x_2}-(\rho vf)_{x_1}=\int_{x_1}^{x_2}{\frac{\partial (\rho vf)}{\partial x}dx}$$
 
  • Like
Likes   Reactions: kev931210
Sorry, I could not find the tutorial, and ended up not using latex to write the equations.
cp3.PNG


This is what I have based on your advise.

In order to derive the equation given by the question, the following equation needs to be true:

upload_2016-4-28_2-44-59.png


If f is independent of x, I can easily extract f, and prove the above equation by using the mass balance equation. However, f is a function of x and t, so I am not so sure how I can derive the above equation...
 
  • #11
kev931210 said:
Sorry, I could not find the tutorial, and ended up not using latex to write the equations.View attachment 99882
The f' they are referring to is not ##=\partial f/\partial t##. It is $$f'=\frac{\partial f}{\partial t}+v\frac{\partial f}{\partial x}$$
 
  • Like
Likes   Reactions: kev931210
  • #12
Oh... that makes sense. Thank you so much!
 
  • #13
kev931210 said:
Oh... that makes sense. Thank you so much!
So you got it now?
 
  • #14
Yes I got it now. It simplified quite easily with your help. Thank you.
 

Similar threads

  • · Replies 5 ·
Replies
5
Views
2K
  • · Replies 11 ·
Replies
11
Views
3K
  • · Replies 7 ·
Replies
7
Views
4K
  • · Replies 1 ·
Replies
1
Views
2K
Replies
4
Views
2K
  • · Replies 3 ·
Replies
3
Views
2K
  • · Replies 1 ·
Replies
1
Views
2K
  • · Replies 12 ·
Replies
12
Views
3K
  • · Replies 2 ·
Replies
2
Views
3K
  • · Replies 6 ·
Replies
6
Views
4K