How do you know how many solutions there are for z?

  • Thread starter Thread starter Darkmisc
  • Start date Start date
Click For Summary
SUMMARY

The discussion centers on determining the number of solutions for the variable z in polynomial equations, specifically focusing on the case of cubic equations (z^3) and the general case of degree n polynomials. It is established that every non-zero, single-variable polynomial of degree n has exactly n complex roots, as stated in the Fundamental Theorem of Algebra. The conversation also clarifies that for z^4, there would be four solutions, reinforcing the principle that the number of solutions corresponds directly to the degree of the polynomial.

PREREQUISITES
  • Understanding of polynomial equations and their degrees
  • Familiarity with complex numbers and roots
  • Knowledge of the Fundamental Theorem of Algebra
  • Basic concepts of calculus, particularly derivatives
NEXT STEPS
  • Study the Fundamental Theorem of Algebra in detail
  • Explore the concept of polynomial roots and their multiplicities
  • Learn about the geometric interpretation of complex roots
  • Investigate the implications of polynomial derivatives on root behavior
USEFUL FOR

Mathematicians, students studying algebra, and anyone interested in understanding polynomial equations and their solutions.

Darkmisc
Messages
222
Reaction score
31
Homework Statement
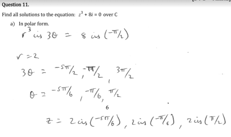
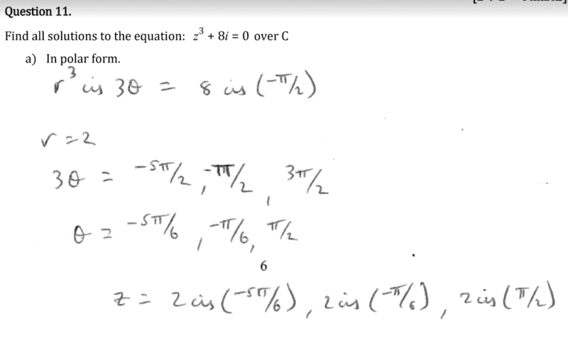
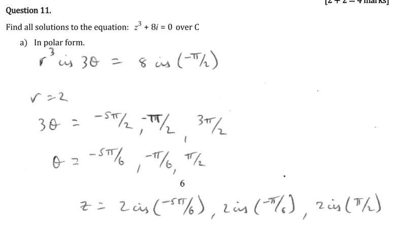
z^3+8i=0
Relevant Equations
r^3cis3t = 8cis(-pi/2)
Hi everyone

How do you know how many solutions z has
a) in this problem
b) in general?

I understand that they are rotating 2 pi from (-pi/2) in both directions to get the other two solutions. Should this be done in all problems?
Is it simply a coincidence that there are three solutions when z is in the third power?

If the problem needed to be solved for z^4, would there be four solutions? Or only three (again by rotating 2 pi in both directions)? Thanks
1653717063478.png
 

Attachments

  • 1653716920414.png
    1653716920414.png
    13.2 KB · Views: 161
  • Like
Likes   Reactions: Delta2
Physics news on Phys.org
  • Like
  • Love
Likes   Reactions: WWGD, Delta2, PeroK and 1 other person
... and since ##X^3+a## and ##(X^3+a)'=3X^2## have no common zeros if ##a\neq 0## we also know that there will be three pairwise distinct roots.
 

Similar threads

  • · Replies 12 ·
Replies
12
Views
3K
  • · Replies 21 ·
Replies
21
Views
2K
Replies
4
Views
2K
  • · Replies 8 ·
Replies
8
Views
3K
  • · Replies 19 ·
Replies
19
Views
2K
  • · Replies 16 ·
Replies
16
Views
3K
  • · Replies 3 ·
Replies
3
Views
4K
Replies
2
Views
3K
  • · Replies 2 ·
Replies
2
Views
2K
  • · Replies 14 ·
Replies
14
Views
2K